-
In the figure below, angle ABE is equal to angle ADC, AE = 6cm, Ed = 9cm and AB = 8cm.
(Solved)
In the figure below, angle ABE is equal to angle ADC, AE = 6cm, Ed = 9cm and AB = 8cm.
Calculate the length of BC

Date posted:
September 10, 2019
.
Answers (1)
-
Use table of reciprocals only to work out:
(Solved)
Use table of reciprocals only to work out:

Date posted:
September 10, 2019
.
Answers (1)
-
Using compass and ruler only construct a triangle Arc such that AB= 6cm ,BC = 5cm and angle ABC = 67.5o
(Solved)
Using compass and ruler only construct a triangle Arc such that AB= 6cm ,BC = 5cm and angle ABC = 67.5o, measure the length of AC
Date posted:
September 10, 2019
.
Answers (1)
-
Jemima’s team entered a contest where teams of students compete by answering questions that earn
either 3 points of 5 points.
(Solved)
Jemima’s team entered a contest where teams of students compete by answering questions that earn either 3 points of 5 points. Jemima’s team scored 44 points after answering 12 questions correctly. How many
five-points questions did the team answer correctly.
Date posted:
September 10, 2019
.
Answers (1)
-
The figure below shows a trough which is 40 cm wide at the top and 25 cm wide at the bottom.
(Solved)
The figure below shows a trough which is 40 cm wide at the top and 25 cm wide at the bottom. The trough is 20cm deep and 4.5 m long. Calculate the capacity of the trough in litres.

Date posted:
September 10, 2019
.
Answers (1)
-
A student expanded ( x + y)2 incorrectly as x2+ y2
(Solved)
A student expanded ( x + y)2 incorrectly as x2+ y2. Calculate the percentage error in the answer if x = 4 and y = 6
Date posted:
September 10, 2019
.
Answers (1)
-
An object is placed on the principal axis of a concave mirror. The image formed is upright and magnified. If the object distance is 5cm...
(Solved)
An object is placed on the principal axis of a concave mirror. The image formed is upright and magnified. If the object distance is 5cm and the image distance is 10 cm, determine the focal length of the mirror.
Date posted:
September 10, 2019
.
Answers (1)
-
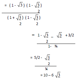
Without using table or calculators, evaluate
(Solved)
Without using table or calculators, evaluate

Date posted:
September 10, 2019
.
Answers (1)
-
A fruit juice dealer sell the juice in packet of 300ml, 500ml and 750ml.
(Solved)
A fruit juice dealer sell the juice in packet of 300ml, 500ml and 750ml. find the size of the smallest
container that can fill each of the packets and leave a remainder of 200ml
Date posted:
September 10, 2019
.
Answers (1)
-
Evaluate the question below
(Solved)
Evaluate

Date posted:
September 10, 2019
.
Answers (1)
-
The diagram below represents a community water tank made up of cylindrical and regular hexagonal parts.
(Solved)
The diagram below represents a community water tank made up of cylindrical and regular hexagonal parts. The diameter and the height of the cylindrical part are 7m and 5m respectively. The side of the regular hexagonal face is 2m and the height of the hexagonal part is 10m. (Take pi= 22/7)

(a) Determine:-
(i) Cylindrical part.
(ii) Hexagonal part.
(iii) The whole tank.
(b) An identical structure is to be built with a hollow cross-sectional area of 1.5m2 and mass of 440kgs. Calculate the density of this structure.
Date posted:
September 10, 2019
.
Answers (1)
-
A quadrilateral ABCD has the coordinates A (1,1), B(4,1), C(5,3) and D(2,3)
(Solved)
A quadrilateral ABCD has the coordinates A (1,1), B(4,1), C(5,3) and D(2,3).
(a) On the graph provided draw the quadrilateral ABCD.
(b) AIBICIDI is the image of ABCD under a transformation matrix represented by: 
write down the coordinates of AIBICIDI and on the same grid draw quadrilateral AIBICIDI.
(c) AIIBIICIIDII with coordinates AII(1,-2), BII(4,1), CII(5,-4), DII(2,-7) is the image of AIBICIDI under transformation whose matrix is T. Find matrix T.
(d)
(i) On the same grid, draw quadrilateral AIIBIICIIDII.
(ii) A single transformation matrix K maps ABCD onto AIIBIICIIDII. Determine the matrix K.
Date posted:
September 10, 2019
.
Answers (1)
-
The turns ratio of primary to secondary coils in a 100% efficient transformer is 3: 1. Calculate the current through the primary coil if the...
(Solved)
The turns ratio of primary to secondary coils in a 100% efficient transformer is 3: 1. Calculate the current through the primary coil if the current in the secondary coil is 5A.
Date posted:
September 10, 2019
.
Answers (1)
-
A school has two students whose age difference is 9. Twice the sum of their ages is equal to the age of their teacher.
(Solved)
A school has two students whose age difference is 9. Twice the sum of their ages is equal to the age of their teacher.
(a) By letting the age of the younger student be y, write an expression of the:
(i) Age of the elder student.
(ii) Age of their teacher.
(b) If in 19 years time, the product of the ages of the two students is equal to 14 times the age of their teacher;
(i) Form an equation in y and hence determine the present possible age of the younger student.
(ii) Determine the possible age of the elder student in 19 years time.
(iii) Find the possible age of the teacher.
Date posted:
September 10, 2019
.
Answers (1)
-
The table below shows the masses of population randomly chosen in a certain town in kilogrammes.
(Solved)
The table below shows the masses of population randomly chosen in a certain town in kilogrammes.

(a) Represent this information on a histogram.
(b) Draw a frequency polygon.
(c) Calculate the mean of the population in this town.
Date posted:
September 10, 2019
.
Answers (1)
-
A metallic cuboid 8cm by 10cm by 14cm is melted.
(Solved)
A metallic cuboid 8cm by 10cm by 14cm is melted. Half of it is used to make a cylinder of radius 4.2cm, the remaining is used to make a sphere. Determine using pi= 22/7
(a) The height and surface area of the cylinder to 1 decimal place.
(b) The radius and surface area of the sphere correct to 1 decimal place.
Date posted:
September 10, 2019
.
Answers (1)
-
A and B are two points 10cm apart.
(Solved)
A and B are two points 10cm apart.
(a) Draw a circle centre A, radius 2cm and a circle centre B, radius 4cm.
(b) Draw a transverse common tangent to the two circles.
(c) Find by calculation the length of a direct common tangent correct to 3 significant figures.
Date posted:
September 10, 2019
.
Answers (1)
-
In the figure below, SP is parallel to QR.
(Solved)
In the figure below, SP is parallel to QR.

(i) Show that triangles SPX and RQX are similar.
(ii) If PS = 8cm, PX = 6cm, SX = 4cm and RX = 3cm, find the length of RQ and QX.
Date posted:
September 10, 2019
.
Answers (1)
-
The ratio of a spherical balloon increases by 4%. Find the percentage increase in its;
(Solved)
The ratio of a spherical balloon increases by 4%. Find the percentage increase in its;
(a) Surface area.
(b) Volume
Date posted:
September 10, 2019
.
Answers (1)
-
The diagram ABCD is a parallelogram. Line BE is parallel to line FD.
(Solved)
The diagram ABCD is a parallelogram. Line BE is parallel to line FD. Show that triangles ABE and CDF are congruent. Show that triangles ABE and CDF are congruent.

Date posted:
September 10, 2019
.
Answers (1)