-
Using a ruler and pair of compass only construct :
(a) An equilateral triangle ABC of side 6cm
(Solved)
Using a ruler and pair of compass only construct :
(a) An equilateral triangle ABC of side 6cm
(b) The focus of a point P inside the triangle such that AP < or equal to PB
(c) The locus of a point Q such that AQ > 4cm
(d) Mark and label the region x inside the triangle which satisfy the two loci.
Date posted:
September 11, 2019
.
Answers (1)
-
Find the values of p and q.
(Solved)
Given the recurring decimal
is equivalent to p/q where p and q are integers.
Find the values of p and q.
Date posted:
September 11, 2019
.
Answers (1)
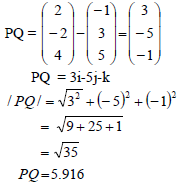
-
Find A1B-1
(Solved)

find A1B-1
Date posted:
September 11, 2019
.
Answers (1)
-
Fullmera bought maize and beans from Okame. She mixed the maize and beans in the ratio 3 : 2
(Solved)
Fullmera bought maize and beans from Okame. She mixed the maize and beans in the ratio 3 : 2 she bought the maize at sh.90 per kg and the beans at sh.150 per kg. If she was to make a profit of 30% what would be the selling price of 1kg of the mixture.
Date posted:
September 11, 2019
.
Answers (1)
-
Solve the equation 4 cos2 theta + 3 sin theta = 4
(Solved)
Solve the equation 4 cos2 theta + 3 sin theta = 4 
Date posted:
September 11, 2019
.
Answers (1)
-
The data below shows the age of 10 students picked at random in a secondary school
(Solved)
The data below shows the age of 10 students picked at random in a secondary school
6, 11, 13, 14, 8, 7, 12, 20, P and 9. If
,determine the value of P hence, find the standard deviation to 3 d.p
Date posted:
September 11, 2019
.
Answers (1)
-
Expand (2 – x)6 in ascending power of x.
(Solved)
Expand (2 – x)6 in ascending power of x. Use the first four terms of expansion to solve (1.95)6 Correct to four decimal places.
Date posted:
September 11, 2019
.
Answers (1)
-
A quantity P varies jointly as Q and the square of R. If Q increased by 20% and R decreased by 15%.
(Solved)
A quantity P varies jointly as Q and the square of R. If Q increased by 20% and R decreased by 15%. Find the percentage change in P.
Date posted:
September 11, 2019
.
Answers (1)
-
The top of a table is a regular hexagon. Each side of the hexagon measures 50.0cm.
(Solved)
The top of a table is a regular hexagon. Each side of the hexagon measures 50.0cm. Find the Maximum percentage error in calculating the perimeter of the top of the table.
Date posted:
September 11, 2019
.
Answers (1)
-
The number line shows an integer operation whose result is 7.
(Solved)
The number line shows an integer operation whose result is 7.

Write down the actual operation.
Date posted:
September 11, 2019
.
Answers (1)
-
Given that tan 650 = 3 + v5 , without using tables or calculator, determine tan 250
(Solved)
Given that tan 650 = 3 + √5 , without using tables or calculator, determine tan 250, leaving your answer in the form at a + b √c where a, b and c are rational numbers.
Date posted:
September 11, 2019
.
Answers (1)
-
Solve for x in the equation log8 (x + 5) – log8 (x – 3) = 2/3
(Solved)
Solve for x in the equation log8 (x + 5) – log8 (x – 3) = 2/3
Date posted:
September 11, 2019
.
Answers (1)
-
Make b the subject of the formula.
(Solved)
Make b the subject of the formula.

Date posted:
September 11, 2019
.
Answers (1)
-
Use logarithms to evaluate correct to 4 s.f
(Solved)
Use logarithms to evaluate correct to 4 s.f

Date posted:
September 11, 2019
.
Answers (1)
-
The product of the first three terms of geometric progression is 729.
(Solved)
The product of the first three terms of geometric progression is 729. If the first term is a and the common ratio is r.
(a) Express r in terms of a.
(b) Given the sum of the three terms is 39.
(i) Find the values of a and r and hence write down two possible sequences each up to the 4th term.
(ii) Find the product of the 10th term of the two sequences.
Date posted:
September 11, 2019
.
Answers (1)
-
The diagram below shows triangle ABC, such that CA = 2a and CB = 3b.
(Solved)
The diagram below shows triangle ABC, such that CA = 2a and CB = 3b. M is the midpoint of CA. N is a point on AB such that 2 AN = NB and R is a point on AB produced such that 2 AR = 5RB. If K is the point of intersection of MR and CN,

(a) Express in terms of a and b.
(i) AB.
(ii) CN.
(iii) BR.
(iv) MR.
(v) CK.
(b) Find the ratio CK: KN.
Date posted:
September 11, 2019
.
Answers (1)
-
Two quantities P and r are connected by the equation P = Krn. Where k and n are constants.The table of values of P and...
(Solved)
Two quantities P and r are connected by the equation P = Krⁿ. Where k and n are constants.The table of values of P and r is given below.

(a) State the linear equation connecting P and r.
(b) (i) Using a suitable scale, draw a suitable line graph from the above data on the grid provided.
(ii) Using your graph, estimate the values of K and n.
(c) Find the relation connecting P and r.
Date posted:
September 11, 2019
.
Answers (1)
-
The table below shows the distribution of marks scored by 50 students of Afraha high.
(Solved)
The table below shows the distribution of marks scored by 50 students of Afraha high.

Calculate:-
(a) interquartile range.
(b) Mean mark
(c) Standard deviation
Date posted:
September 11, 2019
.
Answers (1)
-
Every morning during class time, Brenda either reads a novel or solves Mathematics questions. The
probability that she reads a novel is 4/5.
(Solved)
Every morning during class time, Brenda either reads a novel or solves Mathematics questions. The probability that she reads a novel is 4/5. If she reads a novel, there is a probability of 3/7 that she will fall asleep. If she solves Math’s questions there is a probability of 1/2 that she will fall asleep. Sometimes the teacher on duty enters Brenda’s classroom. When Brenda is asked whether she had been a sleep, there is a probability of 1/5 that she will admit that she had been asleep and a probability of 3/5 that she will claim to have been asleep.
Using a tree diagram;
Find the probability that
(i) She sleeps and admits it.
(ii) She sleeps and does not admit.
(iii) She does not sheep but claims to have been asleep.
(iv) She does not sleep and says that she has not been a slept.
(v) She sleeps and admits and changes her mind.
Date posted:
September 11, 2019
.
Answers (1)
-
(a) Fill the table below using the following function y = 3 + 4x - 2x²
(Solved)
(a) Fill the table below using the following function y = 3 + 4x - 2x² 

(b) On the grid provided, draw the graph of the function y = 3 + 4x - 2x² 
(c) Using your graph; estimate the roots of the equations:-
(i) 3 + 4x = 2x².
(ii) 2x²- 3x - 6 = 0.
(d) State the y – co-ordinate of the maximum turning point.
Date posted:
September 11, 2019
.
Answers (1)