-
Give the IUPAC name of the following:
(Solved)
Give the IUPAC name of the following:
(i) 
(ii) Give the name of the homologous series to which the compound belongs.
(iii) Name and draw the alcohol that formed the compound in (i) above.
Date posted:
September 13, 2019
.
Answers (1)
-
Excess iron was allowed to rust in 2dm³ of most air and the volume of air remaining was measured at 1 atmospheric pressure each day.
(Solved)
Excess iron was allowed to rust in 2dm³ of most air and the volume of air remaining was measured at 1 atmospheric pressure each day.The results were as follows.

(i) Write an equation for the formation of rust.
(ii) On which day was the reaction complete. Explain.
(iii) What is the percentage volume of oxygen in air. Show your working.
Date posted:
September 13, 2019
.
Answers (1)
-
A given sample of ink is a mixture of red dye, blue dye and orange dye. The blue dye is least absorbed than the rest...
(Solved)
A given sample of ink is a mixture of red dye, blue dye and orange dye. The blue dye is least absorbed than the rest and the red dye is most sticky.
(a) Complete the paper chromatogram below showing their separation.

(b) The above dyes are soluble in water. Describe how a pure sample of blue dye can be obtained.
(c) Name the solvent used in paper chromatography.
Date posted:
September 13, 2019
.
Answers (1)
-
The set up below was used to prepare a hydrocarbon.
(Solved)
The set up below was used to prepare a hydrocarbon.

(a) Name solid X
(b) Give a reason why sand is placed at the bottom of the flask.
(c) Write a balanced equation for the reaction taking place in the flask.
Date posted:
September 13, 2019
.
Answers (1)
-
80cm3 of ethane reacted with 150cm3 of oxygen forming carbon (IV) oxide and water.
Calculate:
(i) The volume of carbon (IV) oxide formed
(ii) The residual air.
(Solved)
80cm3 of ethane reacted with 150cm3 of oxygen forming carbon (IV) oxide and water.
Calculate:
(i) The volume of carbon (IV) oxide formed
(ii) The residual air.
Date posted:
September 13, 2019
.
Answers (1)
-
The sketch of the graph below shows a reaction between magnesium ribbon and dilute hydrochloric acid.
(Solved)
The sketch of the graph below shows a reaction between magnesium ribbon and dilute hydrochloric acid.

(a) On the graph indicate the curve for 0.05M HCl
(b) Other than change in concentration, name two other factors that can affect the rate of reaction above.
Date posted:
September 13, 2019
.
Answers (1)
-
Study the flow chart below carefully.
(Solved)
Study the flow chart below carefully.

(a) Identify the cat-ion in the colourless solution N.
(b) Write ionic equations for the reactions in Step I.
Date posted:
September 13, 2019
.
Answers (1)
-
Study the energy level diagram below and use it to answer the questions that follow.
(Solved)
Study the energy level diagram below and use it to answer the questions that follow.

(a) Identify the heat change 
(b) Given that the heat change for 
Calculate the heat change for the reaction 
Date posted:
September 13, 2019
.
Answers (1)
-
The following diagram shows how chlorine gas can be prepared in the laboratory.
(Solved)
The following diagram shows how chlorine gas can be prepared in the laboratory.

Complete the diagram
Date posted:
September 13, 2019
.
Answers (1)
-
Below are allotropes of carbon.
(Solved)
Below are allotropes of carbon.

(i) Identify allotrope A and B
(ii) With a reason, identify the allotrope that can be used in the making of pencil.
Date posted:
September 13, 2019
.
Answers (1)
-
A compound of carbon hydrogen and oxygen contains 57.15% carbon, 4.76% hydrogen and rest oxygen. If its relative molecular mass is 126, find its molecular...
(Solved)
A compound of carbon hydrogen and oxygen contains 57.15% carbon, 4.76% hydrogen and rest oxygen. If its relative molecular mass is 126, find its molecular formula. (C = 12, H = 1, O = 16)
Date posted:
September 13, 2019
.
Answers (1)
-
The following table shows the effect of heat on three metal nitrates P, Q and R.
(Solved)
The following table shows the effect of heat on three metal nitrates P, Q and R.

(a) Arrange the metals P,Q and R in order of decreasing reactivity.
(b) Name a metal that is likely to be
(i) R
(ii) Q
Date posted:
September 13, 2019
.
Answers (1)
-
Study the heating curve below and answer the questions that follow.
(Solved)
Study the heating curve below and answer the questions that follow.

(i) Identify the process taking place between B and C
(ii) Is the process you have named above endothermic or exothermic? Explain
Date posted:
September 13, 2019
.
Answers (1)
-
Substance A reacted with both an acid and a base as shown below.
(Solved)
Substance A reacted with both an acid and a base as shown below.

(i) State the nature of A
(ii) Name any two oxides of A
Date posted:
September 13, 2019
.
Answers (1)
-
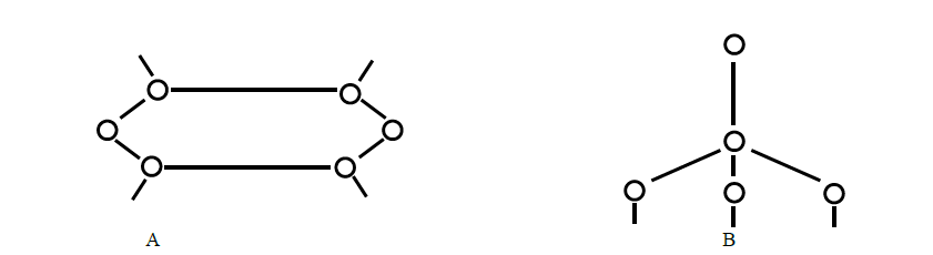
Give the IUPAC name of the following compound.
(Solved)
Give the IUPAC name of the following compound.
(a) 
(b) Describe a chemical test that can be used to distinguish between compound (i) and (iii)
Date posted:
September 13, 2019
.
Answers (1)
-
A 2.0g of limestone was allowed to react with 200cm3 of 0.2MHCl acid. The excess acid required 49.6cm3 of 0.1M NaOH solution. Calculate the percentage...
(Solved)
A 2.0g of limestone was allowed to react with 200cm3 of 0.2MHCl acid. The excess acid required 49.6cm3 of 0.1M NaOH solution. Calculate the percentage of calcium carbonate in the limestone. (Ca = 40, C = 12, O = 16)
Date posted:
September 13, 2019
.
Answers (1)
-
The table below represents elements P, Q, R and S. Study it answer the questions that follow. (The letters are not the actual symbols of...
(Solved)
The table below represents elements P, Q, R and S. Study it answer the questions that follow. (The letters are not the actual symbols of the elements.

(a) Explain why the atomic radius of element P is greater than that of element R.
(b) Explain why the atomic radius of element R is less than its ionic radius.
(c) Using dots and crosses (X) show bonding in the compound formed between elements Q and R.
Date posted:
September 13, 2019
.
Answers (1)
-
The diagram below was used to prepare gas X.
(Solved)
The diagram below was used to prepare gas X.

(a) Identify gas x.
(b) Write an equation for the reaction that took place.
(c) Identify the method of gas collection above.
Date posted:
September 13, 2019
.
Answers (1)
-
A volume of 80cm3 of nitrogen gas diffused through an office in 40 seconds. How long will 170cm3 of carbon (IV) oxide take to diffuse...
(Solved)
A volume of 80cm3 of nitrogen gas diffused through an office in 40 seconds. How long will 170cm3 of carbon (IV) oxide take to diffuse through the same office? (N = 14, C = 12, O = 16)
Date posted:
September 13, 2019
.
Answers (1)
-
The figure below shows part of a Bunsen burner. Study it and answer the questions that follow.
(Solved)
The figure below shows part of a Bunsen burner. Study it and answer the questions that follow.

(a) Name labelled parts B and D.
(b) State the function of the part labelled B.
Date posted:
September 13, 2019
.
Answers (1)