-
Use logarithms, correct to 4 decimal places to evaluate
(Solved)
Use logarithms, correct to 4 decimal places to evaluate

Date posted:
September 16, 2019
.
Answers (1)
-
The figure below shows cuboids ABCDEFGH. Given that AB=12 cm, BC= 8 cm and BF=4 cm.
(a)State the projection of AG on the plane EFGH.
(b)Determine the...
(Solved)
The figure below shows cuboids ABCDEFGH. Given that AB=12 cm, BC= 8 cm and BF=4 cm.

(a)State the projection of AG on the plane EFGH.
(b)Determine the angle between the line AG and the Plane EFGH.
(c)Given that L! M and N are the mid points DC, FG and AB respectively, determine the angle between the planes ADM and NLM.
(d)Find the angle between the skew lines AG and BC.
Date posted:
September 16, 2019
.
Answers (1)
-
Two variables A and B are believed to be related by a law of the form A=mnB + 1.1 where m andn are constants. The...
(Solved)
Two variables A and B are believed to be related by a law of the form A=mnB + 1.1 where m and n are constants. The table below shows corresponding values of A and B as obtained from an experiment.

By drawing a suitable straight line graph estimate the values of m and n.
Date posted:
September 16, 2019
.
Answers (1)
-
(a)Bag A contains 4 red balls and 5 white balls while bag B contains 6 red balls and 4 white ones.
(i)A bag is picked at...
(Solved)
(a)Bag A contains 4 red balls and 5 white balls while bag B contains 6 red balls and 4 white ones.
(i)A bag is picked at random and a ball is picked, find the probability that the ball is
white.
(ii)A ball is removed from A and placed in bag B. Two balls are then picked from B at random one at a time without replacement; find the probability that the two balls are of the same colour.
(b)Three boys and three girls sit in a row of six seats. Find the probability that:-
(i)Three girls sit together.
(ii)The girls and boys sit in alternative seats.
Date posted:
September 16, 2019
.
Answers (1)
-
A1B1C1D1 is the image of ABCD under a shear parallel to x – axis D(2,4) is mapped onto D1(1,4) while A(-1,1) is mapped onto A1(1,1)....
(Solved)
A1B1C1D1 is the image of ABCD under a shear parallel to x – axis D(2,4) is mapped onto D1(1,4) while A(-1,1) is mapped onto A1(1,1). If the co – ordinates of A,B,C and D are (-1,1), (0,1), (3,4) and (2,4) respectively:-
(a)Draw ABCD and A1 B1C1 and D1 under the shear on the grid provided and state
Co-ordinates of B1 and C1.
(b)State the invariant line.
(c)A1 B1C1 and D1 undergoes a stretch parallel to y – axis with scale factor -2 and invariant line y =3. On the same grid, draw A//B//C//D// the image of A1 B1C1 D1 under the stretch
(d)Describe completely the transformation that maps A//B//C//D// onto ABCD.
Date posted:
September 16, 2019
.
Answers (1)
-
Use a ruler and compass ONLY for all constructions in this question.
(a)Construct a triangle ABC in which AB=6 cm, BC= 7 cm and angle ABC...
(Solved)
Use a ruler and compass ONLY for all constructions in this question.
(a)Construct a triangle ABC in which AB=6 cm, BC= 7 cm and angle ABC = 750.
(b)Measure
(i)the length of AC
(ii)the angle ACB
(c)(i)Construct the locus of p such that BP = PC
(ii)Construct the locus of Q such that Q is on the opposite side of BC as A and angle
BCQ = 300.
(d)(i)the locus of P and Q meet at X, mark X .
(ii)Construct the locus of R in which angle BRC = 1200.
Date posted:
September 16, 2019
.
Answers (1)
-
The table below shows taxation rates in Kenya.
A civil servant is provided with a house and pays a nominal rent of Ksh. 6260 per Month....
(Solved)
The table below shows taxation rates in Kenya.

A civil servant is provided with a house and pays a nominal rent of Ksh. 6260 per Month. In addition the government gives him a medical allowance of Kshs. 7,000 p.m, entertainment allowance of Kshs. 3,000 p.m. He is entitled to a personal relief of Ksh. 1700 p.m. If the civil servants net tax is Kshs. 6,900 p.m.
Determine his :-
(a)Gross tax p.m
(b)Taxable income p.m
(c)Basic salary p.m
Date posted:
September 16, 2019
.
Answers (1)
-
During a charity walk to raise funds for displaced Kenyans in the election violence, Otieno, Omollo and David decided to walk from Kisumu to kisii...
(Solved)
During a charity walk to raise funds for displaced Kenyans in the election violence, Otieno, Omollo and David decided to walk from Kisumu to kisii a distance of 250km, at an average speed of 4 km/hr. Each day they begin their walk at 6.00 a.m and after walking 4 hrs, take a break of 30 minutes then walk for the next 3 hrs after which they have a lunch break for 1 ½ hrs. Their final leg for the day last 3 hours.
(a)Find the time:-
(i)When their first break ends.
(ii)When their lunch time begins.
(iii)When their day ends.
(b)Find the number of days they will take to complete the journey.
Date posted:
September 16, 2019
.
Answers (1)
-
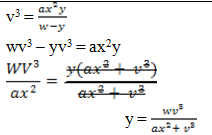
Make N the subject of the formula.
(Solved)
Make N the subject of the formula.

Date posted:
September 16, 2019
.
Answers (1)
-
In the figure below AB is parallel to DE and area of triangle DEC is 8cm2.
Find
(a)the value of X
(b)the area of triangle ADEB.
(Solved)
In the figure below AB is parallel to DE and area of triangle DEC is 8cm2.

Find
(a)the value of X
(b)the area of triangle ADEB.
Date posted:
September 16, 2019
.
Answers (1)
-
If is a perfect square. Find the value of B.
(Solved)
If
is a perfect square. Find the value of B.
Date posted:
September 16, 2019
.
Answers (1)
-
A computer whose marked price is sh. 40,000 is sold at sh. 56,000 on hire purchase terms. Mary bought the computer on hire purchase terms....
(Solved)
A computer whose marked price is sh. 40,000 is sold at sh. 56,000 on hire purchase terms. Mary bought the computer on hire purchase terms. She paid a deposit of 25% of the hire purchase and cleared the balance by equal Monthly installments of sh. 2625. Calculate the rate of interest charged per Month.
Date posted:
September 16, 2019
.
Answers (1)
-
Given that OA = 3i + 2j - 4k and OB = 4i -2k and P divides AB externally in the ratio 3:2. Determine...
(Solved)
Given that OA = 3i + 2j - 4k and OB = 4i -2k and P divides AB externally in the ratio 3:2. Determine the coordinates of P.
Date posted:
September 16, 2019
.
Answers (1)
-
A hot water tap fills a bath tab in 4 minutes, cold water tap fills the same bath tub in 8 minutes while a drainage...
(Solved)
A hot water tap fills a bath tab in 4 minutes, cold water tap fills the same bath tub in 8 minutes while a drainage tap empties the bath tub in 2 minutes. If initially the bath tub is full and the three taps are opened at the same time. Find how long it takes to empty the bath tub.
Date posted:
September 16, 2019
.
Answers (1)
-
The coordinates of the end points of the diameter of a circle are A(2,4)and B(-2,6). Find the equation of a circle in the form ...
(Solved)
The coordinates of the end points of the diameter of a circle are A(2,4)and B(-2,6). Find the equation of a circle in the form
ax2 + by2 + cx + dy + e = 0
Date posted:
September 16, 2019
.
Answers (1)
-
The cost of producing a commodity consists of transport, labour and raw materials in the ratio 8:4:12 respectively. If the transport cost increases by 12%,...
(Solved)
The cost of producing a commodity consists of transport, labour and raw materials in the ratio 8:4:12 respectively. If the transport cost increases by 12%, labour cost by 18% and materials by 40%. Find the percentage increase of producing the new commodity.
Date posted:
September 16, 2019
.
Answers (1)
-
Write down the inequalities that define the region IR.
(Solved)
Write down the inequalities that define the region IR.

Date posted:
September 16, 2019
.
Answers (1)
-
A triangle ABC is transformed by the matrix
to give a straight line. Find the acute angle x in the matrix.
(Solved)
A triangle ABC is transformed by the matrix

to give a straight line. Find the acute angle x in the matrix.
Date posted:
September 16, 2019
.
Answers (1)
-
Use completing squares method to solve for X
3x2 +18x + 15 = 0
(Solved)
Use completing squares method to solve for X
3x2 +18x + 15 = 0
Date posted:
September 16, 2019
.
Answers (1)
-
Use logarithm tables to evaluate.
(Solved)
Use logarithm tables to evaluate.

Date posted:
September 16, 2019
.
Answers (1)