-
Use logarithms table to evaluate
(Solved)
Use logarithms table to evaluate

Date posted:
September 18, 2019
.
Answers (1)
-
A manager wishes to hire two types of machine. He considers the following facts:
...
(Solved)
A manager wishes to hire two types of machine. He considers the following facts:
Machine A Machine B
Floor space 2m3 3 m3
No. of men required to operate 4 3
He has a maximum of 24m2 of floor space and a maximum of 36 men available. In addition he is not allowed to hire more machines of type B than of type A.
(a)If he hires x machines of type A and y machines of type B, write down all the inequalities
that satisfy the above conditions.
(b)Represent the inequalities on the grid and shade the unwanted region.
(c)If the profit from machine A is sh. 4 per hour and that from using B is shs.8 per hour. What
number of machine of each type should the manager choose to give the maximum profit
Date posted:
September 18, 2019
.
Answers (1)
-
The table below shows marks scored by 100 form four students in a mathematics examination.
a) Draw an ogive to represent the above information.
(b) Using your...
(Solved)
The table below shows marks scored by 100 form four students in a mathematics examination.

a) Draw an ogive to represent the above information.
(b) Using your graph, estimate:
(i) the median
(ii) the quartile deviation
(c) If the pass mark is 45%, how many students passed?
Date posted:
September 18, 2019
.
Answers (1)
-
Rates of tax in operation in 2010 are given in the table below:-K£ p.a Rate of tax %1-5208 105209-9744 259745-14292 2014293-18840 15Over 18840 30(a)Mr. Lukandu pays sh. 5,400 as P.A.Y.E...
(Solved)
Rates of tax in operation in 2010 are given in the table below:-
K£ p.a..............Rate of tax %
1-5208.................10
5209-9744..............25
9745-14292.............20
14293-18840............15
Over 18840.............30
(a)Mr. Lukandu pays sh. 5,400 as P.A.Y.E monthly. He was entitled to house allowances of Ksh. 9,000 p.m and getting a monthly tax relief of sh. 1093. Calculate his monthly basic salary.
(b)Mr. Lukandu other deductions per month were;
Co-operative society contribution sh. 2,000
Loan payment sh. 2,500
Calculate his net salary per month.
Date posted:
September 18, 2019
.
Answers (1)
-
a)(i) Taking the radius of the earth, R= 6370km and p = 22/7, calculate the shortest distance between
the two cities P(60oN, 29oW) and Q(60oN, 31oE)...
(Solved)
a)(i) Taking the radius of the earth, R= 6370km and π = 22/7, calculate the shortest distance between
the two cities P(60oN, 29oW) and Q(60oN, 31oE) along the parallel of latitude.
(ii) If it is 1200hrs at P, what is the local time at Q
(b)An aeroplane flew due south from a point A (60oN, 45oE) to a point B. the distance covered by
the aeroplane was 800km. determine the position of B.
Date posted:
September 18, 2019
.
Answers (1)
-
The diagram below shows a circle ABCDE. The line FEG is a tangent to the circle at point E. Line DE is parallel to CG,...
(Solved)
The diagram below shows a circle ABCDE. The line FEG is a tangent to the circle at point E. Line DE is parallel to CG, ∠DEC = 28o and ∠AEG = 32o.

Calculate:
(a) ∠AEG
(b) ∠ABC
Date posted:
September 18, 2019
.
Answers (1)
-
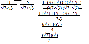
Make x the subject of the formula:
(Solved)
Make x the subject of the formula:

Date posted:
September 18, 2019
.
Answers (1)
-
Solve for ? in the equation
(Solved)
Solve for θ in the equation

Date posted:
September 18, 2019
.
Answers (1)
-
The expression 1 + x/2 is taken as an approximation for v1 + x. Find the percentage error in doing so if x = 0.44.
(Solved)
The expression 1 + x/2 is taken as an approximation for √1 + x. Find the percentage error in doing so if x = 0.44.
Date posted:
September 18, 2019
.
Answers (1)
-
Using logarithms, evaluate correct to 4d.p.
(Solved)
Using logarithms, evaluate correct to 4d.p.

Date posted:
September 18, 2019
.
Answers (1)
-
The table below shows the corresponding values of x and y which are connected by a relation of the
form y = abx -10, where...
(Solved)
The table below shows the corresponding values of x and y which are connected by a relation of the
form y = abx -10, where a and b are constant.

Draw a suitable linear graph and find the appropriate numerical values
of a and b
Date posted:
September 18, 2019
.
Answers (1)
-
The figure below is a tetrahedron. The base triangle ABC is right angled at B. AB = 16 cm and BC = 6cm....
(Solved)
The figure below is a tetrahedron. The base triangle ABC is right angled at B. AB = 16cm and BC = 6cm. DA = DB = DC = 13cm. M is the mid point of line AB and DO is the height of the tetrahedron.

Calculate
(i) The height DO of the tetrahedron.
(ii) The height OM
(iii) The length DM.
Date posted:
September 18, 2019
.
Answers (1)
-
The heights of a tree seedling in a nursery were measured and recorded as in the table below.
a)Estimate the mean height of the tree seedlings...
(Solved)
The heights of a tree seedling in a nursery were measured and recorded as in the table below.

a)Estimate the mean height of the tree seedlings in the nursery.
b)Using a scale of 1cm to represent 10units a long the horizontal axis, and a scale of 1cm to represent 1
unit along the vertical axis, draw a histogram to represent the distribution.
Date posted:
September 18, 2019
.
Answers (1)
-
The second, third and fourteenth terms of an Arithmetic progression are the three consecutive terms of a geometric progression. The 10th term of the arithmetic...
(Solved)
The second, third and fourteenth terms of an Arithmetic progression are the three consecutive terms of a geometric progression. The 10th term of the arithmetic progression is 18. Find;
a) The first term and the common difference of the progression.
b) The sum of the first 10 terms of the progression.
c) The sixth term of the a.p
Date posted:
September 18, 2019
.
Answers (1)
-
A triangle with vertices A ( 1,3) B(2,1) and C (3,1) is mapped onto another triangle with vertices
A1(-3,1), B1 ( -1,2) and C1 (...
(Solved)
A triangle with vertices A ( 1,3) B(2,1) and C (3,1) is mapped onto another triangle with vertices
A1(-3,1), B1 ( -1,2) and C1 ( -1,3).
Describe this transformation and find its matrix.
Date posted:
September 18, 2019
.
Answers (1)
-
Determine the possible value of x, for which the matrix below is singular.
(Solved)
Determine the possible value of x, for which the matrix below is singular.

Date posted:
September 18, 2019
.
Answers (1)
-
Evaluate the area enclosed by the curve y=x3, the x –axis and the lines x=-2 and x =2.
(Solved)
Evaluate the area enclosed by the curve y=x3, the x –axis and the lines x=-2 and x =2.
Date posted:
September 18, 2019
.
Answers (1)
-
A straight line through the points (4,6) and (2,4) meets the x-axis and y-axis and y –axis at points A and
B respectively. Determine the...
(Solved)
A straight line through the points (4,6) and (2,4) meets the x-axis and y-axis and y –axis at points A and
B respectively. Determine the coordinates of points A and B
Date posted:
September 18, 2019
.
Answers (1)
-
Use binomial expansion to expand and simplify (1-3x)6 upto term in x3.
Hence approximate the value of (0.97)6 correct to 4 significant figures.
(Solved)
Use binomial expansion to expand and simplify (1-3x)6 upto term in x3.
Hence approximate the value of (0.97)6 correct to 4 significant figures.
Date posted:
September 18, 2019
.
Answers (1)
-
Find the centre and radius of the circle of the equation x2 + y2 -6x -8y =0
(Solved)
Find the centre and radius of the circle of the equation x2 + y2 -6x -8y =0
Date posted:
September 18, 2019
.
Answers (1)