-
Evaluate using logarithms
(Solved)
Evaluate using logarithms

Date posted:
September 20, 2019
.
Answers (1)
-
Complete the table below.
(Solved)
Complete the table below.

Date posted:
September 20, 2019
.
Answers (1)
-
Using a ruler and a compass only
a) Construct a parallelogram ABCD such that AB = 10cm BC=7cm and < ABC
105o
b) Construct the loci of P...
(Solved)
Using a ruler and a compass only
a) Construct a parallelogram ABCD such that AB = 10cm BC=7cm and < ABC
105o
b) Construct the loci of P and Q within the parallelogram such that AP < 4cm and BQ < 6cm
c) Calculate the area within the parallelogram and outside the region bounded by the two loci
Date posted:
September 20, 2019
.
Answers (1)
-
The table below gives the income tax rates.a)Calculate income tax of Wanga’s taxable income of kshs.50,400 per monthallowing a family relief of kshs. 520 per...
(Solved)
The table below gives the income tax rates.

a)Calculate income tax of Wanga’s taxable income of kshs.50,400 per month allowing a family relief of kshs. 520 per month.
b)Calculate the total tax as a percentage of taxable income
Date posted:
September 20, 2019
.
Answers (1)
-
Find the integral values of x which satisfy 6 = 2x + 1 and 5x – 29 < - 4 .
(Solved)
Find the integral values of x which satisfy 6 ≤ 2x + 1 and 5x – 29 < - 4 .
Date posted:
September 20, 2019
.
Answers (1)
-
Five men working 8 hours daily complete a piece of work in 3 days. How long will it take 12 men working 5 hours a...
(Solved)
Five men working 8 hours daily complete a piece of work in 3 days. How long will it take 12 men working 5 hours a day to complete the same work.
Date posted:
September 20, 2019
.
Answers (1)
-
Write the expression of (2 – 1/5 x)6 up to the term in x4. Hence use the expansion to find the value of (1.96)6 correct...
(Solved)
Write the expression of (2 – 1/5 x)6 up to the term in x4. Hence use the expansion to find the value of (1.96)6 correct to 3 decimal places.
Date posted:
September 20, 2019
.
Answers (1)
-
The position vectors of points A and B are a = 2i + j – 8k and b = 3i +2j – 2k respectively....
(Solved)
The position vectors of points A and B are a = 2i + j – 8k and b = 3i +2j – 2k respectively. Find the magnitude of AB.
Date posted:
September 20, 2019
.
Answers (1)
-
A quantity P varies partly as t and partly as the square of t.When t = 20, p = 45 , and when t =...
(Solved)
A quantity P varies partly as t and partly as the square of t.When t = 20, p = 45 , and when t = 24 , p = 60.
a)Express p in terms of t.
b)Find p when t = 32.
Date posted:
September 20, 2019
.
Answers (1)
-
In the figure below ABC is a tangent to the circle at point B.Given that BE =6.9cm, FE=7.8cm,GE=4.1cm,DC=11.2cm and ED = xcm.Determine the length BC,give...
(Solved)
In the figure below ABC is a tangent to the circle at point B.Given that BE =6.9cm, FE=7.8cm,GE=4.1cm,DC=11.2cm and ED = xcm.Determine the length BC,give your answer in four significant figures.

Date posted:
September 20, 2019
.
Answers (1)
-
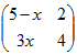
Given that the matrix has no inverse, find x.
(Solved)
Given that the matrix
has no inverse, find x.
Date posted:
September 20, 2019
.
Answers (1)
-
The dimensions of a cuboid are 4.5cm by 3.5cm by 2cm.Find the percentage error in its volume giving your answer to 2 significant figure.
(Solved)
The dimensions of a cuboid are 4.5cm by 3.5cm by 2cm.Find the percentage error in its volume giving your answer to 2 significant figure.
Date posted:
September 20, 2019
.
Answers (1)
-
Given that Find the values of a and b.
(Solved)
Given that
Find the values of a and b.
Date posted:
September 20, 2019
.
Answers (1)
-
Determine the amplitude, period and the phase angle of the wave represented by the equation.
(Solved)
Determine the amplitude, period and the phase angle of the wave represented by the equation.

Date posted:
September 20, 2019
.
Answers (1)
-
Express the recurring decimal below as a fraction; 4.372 leaving your answer in the form of a/b where a and ...
(Solved)
Express the recurring decimal below as a fraction; 4.372 leaving your answer in the form of a/b where a and b are integers.
Date posted:
September 20, 2019
.
Answers (1)
-
Make a the subject of the formula.
(Solved)
Make a the subject of the formula.

Date posted:
September 20, 2019
.
Answers (1)
-
Use logarithms only to evaluate,
Correct to four significant figures.
(Solved)
Use logarithms only to evaluate,

Correct to four significant figures.
Date posted:
September 20, 2019
.
Answers (1)
-
A stone is hung from a horizontal beam by two strings. The longer string makes an angle of 420 with the horizontal and is...
(Solved)
A stone is hung from a horizontal beam by two strings. The longer string makes an angle of 420 with the horizontal and is 3.2m long. If the shorter string makes an angle of 600 with the horizontal, calculate its length.

Date posted:
September 20, 2019
.
Answers (1)
-
(a) Complete the table below for the function:
(b) Use the mid-ordinate rule with six ordinates to estimate the area enclosed by the curve...
(Solved)
(a) Complete the table below for the function:

(b) Use the mid-ordinate rule with six ordinates to estimate the area enclosed by the curve of the functions y = x2 – 3x + 5, x – axis and the lines x = 2 and x = 8.
(c) Find the exact area of the region described in (b) above.
(d) If the mid-ordinates rule is used to estimate the area under the curve between x = 2 and x = 8, what will be the percentage error in the estimation?
Date posted:
September 20, 2019
.
Answers (1)
-
A farmer has at least 50 acres of land on which he plans to plant potatoes and cabbages.
Each acre of potatoes requires 6 men...
(Solved)
A farmer has at least 50 acres of land on which he plans to plant potatoes and cabbages.
Each acre of potatoes requires 6 men and each acre of cabbages requires 2 men. The farmer has 240 men available and he must plant at least 10 acres of potatoes. The profit on potatoes is Ksh. 1000 per acre and on cabbages is Ksh. 1200 per acre. If he plants x acres of potatoes and y acres of cabbages:
(a)Write down three inequalities in x and y to describe this information.
(b)Represent these inequalities graphically.
Date posted:
September 20, 2019
.
Answers (1)