-
The figure below shows a triangle ABC inscribed in a circle.AC = 10cm BC = 7cm and AB = 10cm.Find the radius of the circle(leave...
(Solved)
The figure below shows a triangle ABC inscribed in a circle.AC = 10cm BC = 7cm and AB = 10cm.Find the radius of the circle(leave your answer to the nearest 1 decimal place)

Date posted:
September 21, 2019
.
Answers (1)
-
A TV set was bought on hire purchase. A down payment (deposit) of Kshs.5000 was paid and a 15 monthly installment of Kshs. 1500 was...
(Solved)
A TV set was bought on hire purchase. A down payment (deposit) of Kshs.5000 was paid and a 15 monthly installment of Kshs. 1500 was required.
a)Calculate the total amount paid on hire purchase
b)If the hire purchase payment is 20% more than cash payment, find the cash price
Date posted:
September 21, 2019
.
Answers (1)
-
Quantities p and q are 0.325 and 0.650 correct to three significant figures. Find the percentage error in calculating q/p
(Solved)
Quantities p and q are 0.325 and 0.650 correct to three significant figures. Find the percentage error in calculating q/p
Date posted:
September 21, 2019
.
Answers (1)
-
A circle of radius 3cm has the centre at c(-2,3).Find the equation of the circle in the form of x2+y2+px+qy+c = 0 where p,q and...
(Solved)
A circle of radius 3cm has the centre at c(-2,3).Find the equation of the circle in the form of x2+y2+px+qy+c = 0 where p,q and c are constants
Date posted:
September 21, 2019
.
Answers (1)
-
In a certain arithmetic progression the first,second and sixth terms form a geometric progression.If the forth term of the A.P is 20,find the common difference...
(Solved)
In a certain arithmetic progression the first,second and sixth terms form a geometric progression.If the forth term of the A.P is 20,find the common difference
Date posted:
September 21, 2019
.
Answers (1)
-
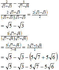
Simplify:
(Solved)
Simplify: 
Date posted:
September 21, 2019
.
Answers (1)
-
The initial velocity of a particle was 1 m/s and its acceleration is given by 2-t m/s2 every second after the start.
(i)determine the equation representing...
(Solved)
The initial velocity of a particle was 1 m/s and its acceleration is given by 2-t m/s2 every second after the start.
(i)determine the equation representing its velocity.
(ii)Find the velocity of the particle during the third second
Date posted:
September 21, 2019
.
Answers (1)
-
A and B are two points on the latitude 400N. The two points lie on the longitude 800W and 1000E respectively. ( take r= 6370...
(Solved)
A and B are two points on the latitude 400N. The two points lie on the longitude 800W and 1000E respectively. ( take r= 6370 km & π= 22/7)
( a ) Calculate:
(i)The distance from A to B along the parallel of latitude
(ii)The shortest distance from A to B
( b )Two planes P and Q left A for B at 400 knots and 600 knots respectively. If P flew along the great circle and q along the parallel of latitude, which one arrived earlier and by how long? Give your answer to
the nearest minute
Date posted:
September 21, 2019
.
Answers (1)
-
Mrs. Langat, a primary school head teacher, earns a basic salary of sh.38,300, house allowance of sh 12000 and medical allowance of sh 3600 every...
(Solved)
Mrs. Langat, a primary school head teacher, earns a basic salary of sh.38,300, house allowance of sh 12000 and medical allowance of sh 3600 every month. She claims a family relief of sh.1172 and insurance relief of 3% of the premium paid. Using tax rates table below:

(a)Calculate Mrs. Langat’s annual taxable income in Kenya pound per annum
(b)Tax due every month from Mrs. Langat
(c) If further deductions are made every month from her salary:
•WCPS of 2% of basic salary
•Life insuarance premium of sh4600
•Sacco loan repayment of sh 14,200
Calculate: (i) the total deductions
( ii ) her net pay for every month
Date posted:
September 21, 2019
.
Answers (1)
-
A new laptop depreciates at 8% per annum in the first year and 12% per year in the second year. If its value...
(Solved)
A new laptop depreciates at 8% per annum in the first year and 12% per year in the second year. If its value at the end of the second year was sh121, 440. calculate its original value.
Date posted:
September 21, 2019
.
Answers (1)
-
Without using a calculator, solve leaving your answer in the form avb+c where a, b, and c are integers.
(Solved)
Without using a calculator, solve
leaving your answer in the form a√b+c where a, b, and c are integers.
Date posted:
September 21, 2019
.
Answers (1)
-
Kiprono buys tea costing sh 112 per kilogram and sh 132 per kilogram and mixes them, then sells the mixture at sh 150 per kilogram....
(Solved)
Kiprono buys tea costing sh 112 per kilogram and sh 132 per kilogram and mixes them, then sells the mixture at sh 150 per kilogram. If he is making a profit of 25% in each kilogram of the mixture , determine the ratio in which he mixes the tea.
Date posted:
September 21, 2019
.
Answers (1)
-
Given that C varies partly as A and partly as the square of A and that C=20 when A= 2 and C=21 when A=...
(Solved)
Given that C varies partly as A and partly as the square of A and that C=20 when A= 2 and C=21 when A= 3, determine the value of C when A = 4.
Date posted:
September 21, 2019
.
Answers (1)
-
Ann, Betty and Caro agreed to share some amount of money in the ratio 3:4:2. If Betty got twice as much as Caro and Ann...
(Solved)
Ann, Betty and Caro agreed to share some amount of money in the ratio 3:4:2. If Betty got twice as much as Caro and Ann got Sh 6000 more than Caro, then how much money was being shared?
Date posted:
September 21, 2019
.
Answers (1)
-
The curve x y =12 cuts the line y = 7- x at two points. Find the coordinates of the two points.
(Solved)
The curve x y =12 cuts the line y = 7- x at two points. Find the coordinates of the two points.
Date posted:
September 21, 2019
.
Answers (1)
-
Solve the value of x :
(Solved)
Solve the value of x :

Date posted:
September 21, 2019
.
Answers (1)
-
Make K the subject of the formula and simplify
(Solved)
Make K the subject of the formula and simplify

Date posted:
September 21, 2019
.
Answers (1)
-
The sum of the fifth and the sixth term of an AP is 30. If the third term is 5, find the first term. ...
(Solved)
The sum of the fifth and the sixth term of an AP is 30. If the third term is 5, find the first term.
Date posted:
September 21, 2019
.
Answers (1)
-
Use logarithms to evaluate:
(Solved)
Use logarithms to evaluate:

Date posted:
September 21, 2019
.
Answers (1)
-
Given that y=2xo+ cos ½ xo, complete the table below for the missing values of y, correct to 1 decimal place
(Solved)
Given that y=2xo+ cos ½ xo, complete the table below for the missing values of y, correct to 1 decimal place

Date posted:
September 20, 2019
.
Answers (1)