-
The figure below shows a triangular prism ABCDEF
a)Draw the net of the prism
b)A fly walks from A to D along the diagonals of rectangular...
(Solved)
The figure below shows a triangular prism ABCDEF

a)Draw the net of the prism
b)A fly walks from A to D along the diagonals of rectangular faces:
i)On your net show the locus of the fly.
ii)Measure the distance covered by the fly, one way.
iii)The fly takes 15 seconds to reach D one way. Calculate its’ speed in, km/h.
Date posted:
October 12, 2019
.
Answers (1)
-
The figure below shows a circle centre O and a cyclic quadrilateral ABCD. Angle ACB =400 and angle DAC =200 AOC is a straight line.
Giving...
(Solved)
The figure below shows a circle centre O and a cyclic quadrilateral ABCD. Angle ACB =400 and angle DAC =200 AOC is a straight line.

Giving reasons find the size of:
i)ABD
ii)BAC
iii)ACD
iv)CBD
v)Reflex ADC
Date posted:
October 12, 2019
.
Answers (1)
-
Four points P, Q, R and S lie on the same plane. Point P is 42km due south west of R. Q is 15km on...
(Solved)
Four points P, Q, R and S lie on the same plane. Point P is 42km due south west of R. Q is 15km on a bearing of S60E from R. Point D is equidistant from P and Q.
a)Using a scale of 1cm represents 10km, construct a diagram showing the positions of P, Q, R and S
b)Using your diagram determine:
i)Distance between P and Q
ii)Bearing of S from P
iii)Distance from S to R
Date posted:
October 12, 2019
.
Answers (1)
-
A bus left Mombasa at 7.45 am towards Nairobi at an average speed of 60km/h. A saloon car left Mombasa at 9.15 am on the...
(Solved)
A bus left Mombasa at 7.45 am towards Nairobi at an average speed of 60km/h. A saloon car left Mombasa at 9.15 am on the same day along the same road at an average of 120km/h. the distance between Mombasa and Nairobi is 360km.
a)Determine the time of day when the salon car overtook the bus.
b)Both vehicles contained towards Nairobi at their original speed. How long had the saloon car waited in Nairobi before the bus arrived.
Date posted:
October 12, 2019
.
Answers (1)
-
A tourist in Nakuru had 870 Euros, 629 pounds and some dollars. If on changing his money he had Ksh 0.18 million, how much dollars...
(Solved)
A tourist in Nakuru had 870 Euros, 629 pounds and some dollars. If on changing his money he had Ksh 0.18 million, how much dollars did he have before changing his money, if he was charged a tax of 10%, when the exchange rates were:-
1 pound = Ksh 70, 1 dollar = Ksh 120 and 1 Euro = Ksh 106.
Give your answer to the nearest whole number.
Date posted:
October 12, 2019
.
Answers (1)
-
Giving reasons, find the value of y in the figure below.
(Solved)
Giving reasons, find the value of y in the figure below.

Date posted:
October 12, 2019
.
Answers (1)
-
If 2x + y = 16 and 42x-y = ¼, find y – x: 2y
(Solved)
If 2x + y = 16 and 42x-y = ¼, find y – x: 2y
Date posted:
October 11, 2019
.
Answers (1)
-
Water and alcohol are mixed in the ratio 1:4. If the density of water and alcohol are 1g/cm3 and 0.8g/cm3 respectively. Find the density of...
(Solved)
Water and alcohol are mixed in the ratio 1:4. If the density of water and alcohol are 1g/cm3 and 0.8g/cm3 respectively. Find the density of the mixture.
Date posted:
October 11, 2019
.
Answers (1)
-
The projection of a line onto a plane is two thirds the length of the line. Find the angle between the line and the plane....
(Solved)
The projection of a line onto a plane is two thirds the length of the line. Find the angle between the line and the plane.
Date posted:
October 11, 2019
.
Answers (1)
-
Line AB is such that A(5, -2) and B(7, -4). The line is mapped onto A1(5, -12) and B1(3, -10), by an enlargement. Determine the...
(Solved)
Line AB is such that A(5, -2) and B(7, -4). The line is mapped onto A1(5, -12) and B1(3, -10), by an enlargement. Determine the centre and scale factor of the enlargement. (Use the grid given)

Date posted:
October 11, 2019
.
Answers (1)
-
When a retailer sold an article at Ksh 550 after a discount of 15%, he made a profit of 10%. What would have been his...
(Solved)
When a retailer sold an article at Ksh 550 after a discount of 15%, he made a profit of 10%. What would have been his profit if he did not allow the discount?
Date posted:
October 11, 2019
.
Answers (1)
-
Simplify completely the expression.
(Solved)
Simplify completely the expression.

Date posted:
October 11, 2019
.
Answers (1)
-
Use logarithms tables only to evaluate.
(Solved)
Use logarithms tables only to evaluate.

Date posted:
October 11, 2019
.
Answers (1)
-
The mean of the number k, 8k + 1, 17 and 20 is 14. Find the mode of the numbers.
(Solved)
The mean of the number k, 8k + 1, 17 and 20 is 14. Find the mode of the numbers.
Date posted:
October 11, 2019
.
Answers (1)
-
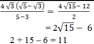
Without using a calculator evaluate
(Solved)
Without using a calculator evaluate

Date posted:
October 11, 2019
.
Answers (1)
-
Two fair dice one a regular tetrahedron (4 faces) and the other a cube are thrown. The scores are added together. show all possible outcomes.
a)Find...
(Solved)
Two fair dice one a regular tetrahedron (4 faces) and the other a cube are thrown. The scores are added together. show all possible outcomes.
a)Find the probability that:
i) The sum is 6.
ii) The sum is an odd number.
iii)The sum is 6 or 9.
b)If a player wins a game by throwing a sum of 6 or 9, draw a tree diagram and use it to find
probability that he wins at least once when the dice are thrown twice
Date posted:
October 9, 2019
.
Answers (1)
-
The above diagram represents a wooden prism. ABCD is a rectangle. Points E and F are directly below C and B respectively. M is the...
(Solved)

The above diagram represents a wooden prism. ABCD is a rectangle. Points E and F are directly below C and B respectively. M is the midpoint of CD. AB = 8cm, BC = 10cm and CE = 4.5cm.
a)The size of angle CDE.
b) Calculate:
i) Length of AC.
ii) The angle CAE makes with the plane ADEF.
c) Find the:
i) Length of MB.
ii) Angle CBM.
Date posted:
October 9, 2019
.
Answers (1)
-
Make P the subject of the formula XYP = QPX
(Solved)
Make P the subject of the formula XYP = QPX
Date posted:
October 9, 2019
.
Answers (1)
-
The table below shows the taxation rates for income earned in a certain month.
Income (Kshs per month) Tax rate (%)
1...
(Solved)
The table below shows the taxation rates for income earned in a certain month.
Income (Kshs per month) Tax rate (%)
1 – 9680 10
9681 – 19360 15
19361 – 29040 20
29041 – 38720 25
38720 and above 30
Kiratu earned a basic salary of Ksh 21,000 that month. In addition he got a house allowance of Ksh. 12,000 and medical allowance of Ksh. 3600. He had a life insurance policy for which he paid Ksh. 1800 p.m. He was entitled to an insurance relief 15% of the premium paid. He claimed a personal relief of Ksh. 1162 p.m.
a)Calculate the net tax Kiratu paid in that month.
b)Together with the tax deductions were also made from his pay i.e. NHIF sh. 320 and co-op loan
of ksh. 4750. Calculate Kiratu’s Net pay for that month.
Date posted:
October 9, 2019
.
Answers (1)
-
A straight line passes through points (8, -2) and (4, -4)
a)Write its equation in the form ax + by + c = 0 where a,...
(Solved)
A straight line passes through points (8, -2) and (4, -4)
a)Write its equation in the form ax + by + c = 0 where a, b and c are integers.
b)If the line in (a) above cuts the x axis at point P, determine the coordinates of P.
c)Another line which is perpendicular to the line in (a) above passes through point P and cuts the
Y axis at the point Q. Determine the co-ordinates of point Q.
d)Find the length of QP.
Date posted:
October 9, 2019
.
Answers (1)