-
Element A has atomic mass 23 and element B has atomic mass 7 and also have 12 neutrons and 4 neutrons respectively.
(a) Write the electronic...
(Solved)
Element A has atomic mass 23 and element B has atomic mass 7 and also have 12 neutrons and 4 neutrons respectively.
(a) Write the electronic arrangement of A and B
(b) Which element has higher ionization energy? Explain
Date posted:
October 14, 2019
.
Answers (1)
-
In an experiment an unknown mass of anhydrous sodium carbonate was dissolved in water and the solution made up to 250cm3. 25cm3 of this solution...
(Solved)
In an experiment an unknown mass of anhydrous sodium carbonate was dissolved in water and the solution made up to 250cm3. 25cm3 of this solution neutralized 20cm3 of 0.25M nitric acid.
(Na = 23.0 C = 12.0 O = 16.0)
Calculate:
(a) Moles of Nitric acid used
(b) Moles of sodium carbonate in 25cm of the solution
(c) Mass of unknown sodium carbonate used
Date posted:
October 14, 2019
.
Answers (1)
-
Between N and M which part should be heated first? Explain
(Solved)


(a) Between N and M which part should be heated first? Explain
(b) Write a chemical equation for the reaction occurring in the combustion tube.
Date posted:
October 14, 2019
.
Answers (1)
-
Jane set-up the experiment as shown below to collect a gas. The wet sand was heated before heating Zinc granules.
(Solved)
Jane set-up the experiment as shown below to collect a gas. The wet sand was heated before heating Zinc granules.

(a) Complete the diagram for the laboratory preparation of the gas
(b) Why was it necessary to heat wet sand before heating Zinc granules?
Date posted:
October 14, 2019
.
Answers (1)
-
When hydrogen is burnt and the product cooled, the following results are obtained as shown in the diagram below:
(Solved)
When hydrogen is burnt and the product cooled, the following results are obtained as shown in the diagram below:

(a) Write the equation for the formation of liquid Y
(b) Give a chemical test for liquid Y
Date posted:
October 14, 2019
.
Answers (1)
-
Gas P was passed over heated magnesium ribbon and hydrogen gas was collected as shown in the diagram below:
(Solved)
Gas P was passed over heated magnesium ribbon and hydrogen gas was collected as shown in the diagram below:

(i) Name gas P
(ii) Write an equation of the reaction that takes place in the combustion tube
(iii) State one precaution necessary at the end of this experiment
Date posted:
October 14, 2019
.
Answers (1)
-
The setup below was used to investigate the reaction between metals and water.
(Solved)
The setup below was used to investigate the reaction between metals and water.

(a) Identify solid X and state its purpose
Solid X
Purpose
(b) Write a chemical equation for the reaction that produces the flame.
Date posted:
October 14, 2019
.
Answers (1)
-
In an experiment, dry hydrogen gas was passed over hot copper (II) oxide in a combustion tube as shown in the diagram below:-
(Solved)
In an experiment, dry hydrogen gas was passed over hot copper (II) oxide in a combustion tube as shown in the diagram below:-

Complete the diagram to show how the other product, substance R could be collected in the laboratory.
Date posted:
October 14, 2019
.
Answers (1)
-
When water reacts with potassium metal the hydrogen produced ignites explosively on the surface of water.
(i) What causes this ignition?
(ii) Write an equation to show...
(Solved)
When water reacts with potassium metal the hydrogen produced ignites explosively on the surface of water.
(i) What causes this ignition?
(ii) Write an equation to show how this ignition occurs
Date posted:
October 14, 2019
.
Answers (1)
-
Hydrogen can reduce coppers Oxide but not aluminium oxide. Explain
(Solved)
Hydrogen can reduce coppers Oxide but not aluminium oxide. Explain
Date posted:
October 14, 2019
.
Answers (1)
-
Fe3O4 and FeO are oxides of iron which can be produced in the laboratory
(a) Write chemical equation for the reaction which can be used to...
(Solved)
Fe3O4 and FeO are oxides of iron which can be produced in the laboratory
(a) Write chemical equation for the reaction which can be used to produce each of the oxides
(b) Write an ionic equation for the reaction between the oxide, Fe3O4 and a dilute acid.
Date posted:
October 14, 2019
.
Answers (1)
-
A piece of phosphorous was burnt in excess air. The product obtained was shaken with a small amount of hot water to make a solution
i)...
(Solved)
A piece of phosphorous was burnt in excess air. The product obtained was shaken with a small amount of hot water to make a solution
i) Write an equation for the burning of phosphorus in excess air
ii) The solution obtained above was found to have pH of 2. Give reasons for this observation
Date posted:
October 14, 2019
.
Answers (1)
-
The electron configuration of elements A, B, C, D and E are as given below.
(Solved)
The electron configuration of elements A, B, C, D and E are as given below.

{a} Which element has the highest electrical conductivity.
{b} Which letter represents the most reactive metal.
c} Which letter represents the most reactive non-metal.
Date posted:
October 14, 2019
.
Answers (1)
-
Given mass of gas T diffuses through a porous plug in 48 seconds while a similar mass of gas R diffuse in 70 seconds. Given...
(Solved)
Given mass of gas T diffuses through a porous plug in 48 seconds while a similar mass of gas R diffuse in 70 seconds. Given that the density of gas T is 0.6g/cm3, find the density of gas R.
Date posted:
October 14, 2019
.
Answers (1)
-
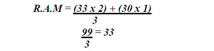
Element W has two isotopes W – 36 and W-40 which occur in the ratio x:4. Given that R.A.M of W is 37.25, find the...
(Solved)
Element W has two isotopes W – 36 and W-40 which occur in the ratio x:4. Given that R.A.M of W is 37.25, find the value of x.
Date posted:
October 14, 2019
.
Answers (1)
-
Gas X and Y can be collected as shown below.
(Solved)
Gas X and Y can be collected as shown below.

[a] Name the method used to collect gas Y.
[b] How do densities of gas X and gas Y compare?
[c]Give an example of a gas that can be collected using the same method as gas Y.
Date posted:
October 14, 2019
.
Answers (1)
-
Few drops of hydrochloric acid were added into a test tube containing lead {II} Nitrate solution.
(Solved)
Few drops of hydrochloric acid were added into a test tube containing lead {II} Nitrate solution.
{a} State one observation made
{b} Write an ionic equation of the reaction that occurred in the test tube
Date posted:
October 14, 2019
.
Answers (1)
-
When 20g of a compound containing carbon, hydrogen and oxygen was burnt in the air, 29.3g of carbon{IV} oxide and 11.7g of water were produced....
(Solved)
When 20g of a compound containing carbon, hydrogen and oxygen was burnt in the air, 29.3g of carbon{IV} oxide and 11.7g of water were produced. Determine its empirical formulae.
{C=12, H=1 , O=16}
Date posted:
October 14, 2019
.
Answers (1)
-
(a) A group of students burnt a piece of Mg ribbon in air and its ash collected in a Petri dish.
The ash was found to...
(Solved)
(a) A group of students burnt a piece of Mg ribbon in air and its ash collected in a Petri dish.
The ash was found to comprise of magnesium Oxide and Magnesium nitride
(i) Write an equation for the reaction leading to formation of the magnesium nitride
(ii) A little water was added to the products in the Petri dish. State and explain the observation made.
(iii) A piece of blue litmus paper was dipped into the solution formed in (b) above.
State the observation made.
Date posted:
October 14, 2019
.
Answers (1)
-
A compound can be represented as
(Solved)
A compound can be represented as

[a] What name is given to the above class of compounds.
[b] Name two reagents that can be reacted together to generate the above compound.
[c] State two conditions necessary for the reaction leading to formation of the above compound to occur.
Date posted:
October 14, 2019
.
Answers (1)