-
The figure below shows two gases P and Q diffusing from two opposite ends 18 seconds after the experiment
(Solved)
The figure below shows two gases P and Q diffusing from two opposite ends 18 seconds after the experiment

(a) Which of the gases has a lighter density?
(b) Given that the molecular mass of gas Q is 17, calculate the molecular mass of P
Date posted:
October 17, 2019
.
Answers (1)
-
Gas B takes 110 seconds to diffuse through a porous pot, how long will it take for the same amount of ammonia to diffuse under...
(Solved)
Gas B takes 110 seconds to diffuse through a porous pot, how long will it take for the same amount of ammonia to diffuse under the same conditions of temperature and pressure?
(RMM of B = 34 RMM of ammonia = 17)
Date posted:
October 17, 2019
.
Answers (1)
-
Below are structures of particles. Use it to answer questions that follow. In each case only electrons in the outermost energy level are shown
(Solved)
Below are structures of particles. Use it to answer questions that follow. In each case only electrons in the outermost energy level are shown

(a) Identify the particle which is an anion
(b) Choose a pair of isotopes. Give a reason
Date posted:
October 17, 2019
.
Answers (1)
-
A sample of Carbon (IV) Oxide takes 200 seconds to diffuse across a porous plug.
How long will it take the same amount of Carbon (II)...
(Solved)
A sample of Carbon (IV) Oxide takes 200 seconds to diffuse across a porous plug.
How long will it take the same amount of Carbon (II) Oxide to diffuse through the same plug?(C=12, O=16)
Date posted:
October 17, 2019
.
Answers (1)
-
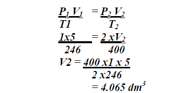
A fixed mass of gas occupies 200cm3 at a temperature of 23oC and pressure of 740mmHg.
Calculate the volume of the gas at -25oC and 780mmHg...
(Solved)
A fixed mass of gas occupies 200cm3 at a temperature of 23oC and pressure of 740mmHg.
Calculate the volume of the gas at -25oC and 780mmHg pressure
Date posted:
October 17, 2019
.
Answers (1)
-
A factory produces Calcium Oxide from Calcium Carbonate as shown in the equation below:-
(Solved)
A factory produces Calcium Oxide from Calcium Carbonate as shown in the equation below:-

What volume of Carbon (IV) Oxide would be produced from 1000kg of Calcium
Carbonate at s.t.p (Ca = 40, C = 12, O = 16, Molar gas volume at s.t.p = 22.4dm3)
Date posted:
October 17, 2019
.
Answers (1)
-
A gas occupied a volume of 250cm3 at -23ºC and 1 atmosphere. Determine its volume at 127ºC when pressure is kept constant.
(Solved)
A gas occupied a volume of 250cm3 at -23ºC and 1 atmosphere. Determine its volume at 127ºC when pressure is kept constant.
Date posted:
October 17, 2019
.
Answers (1)
-
Gas V takes 10 seconds to diffuse through a distance of one fifth of a meter. Another gas W takes the same time to diffuse...
(Solved)
Gas V takes 10 seconds to diffuse through a distance of one fifth of a meter. Another gas W takes the same time to diffuse through a distance of 10 cm. if the relative molecular mass of gas V is 16.0; calculate the molecular mass of W.
Date posted:
October 17, 2019
.
Answers (1)
-
State and explain the observation made when a piece of charcoal is dropped in a jar containing concentrated nitric (V) acid
(Solved)
State and explain the observation made when a piece of charcoal is dropped in a jar containing concentrated nitric (V) acid
Date posted:
October 17, 2019
.
Answers (1)
-
The diagram below shows the heating curve of a pure substance. Study it and answer the questions that follow:
(Solved)
The diagram below shows the heating curve of a pure substance. Study it and answer the questions that follow:

(a) Explain what happens between points A and C
(b) The substance under test is definitely not water; Give a reason for this
(c) What would happen to the melting point of this substance if it were contaminated with sodium chloride?
(d) What happens to the temperature between points B and C?
Date posted:
October 16, 2019
.
Answers (1)
-
Diamond and silicon (IV) Oxide have a certain similarity in terms of structure and bonding.
State it
(Solved)
Diamond and silicon (IV) Oxide have a certain similarity in terms of structure and bonding.
State it
Date posted:
October 16, 2019
.
Answers (1)
-
Study the diagram below and use it to answer the questions that follow.
(Solved)
Study the diagram below and use it to answer the questions that follow.

(a) State the observation made in the combustion tube.
(b) Write an equation for the reaction that took place in the combustion tube
(c) Give one use of P
Date posted:
October 16, 2019
.
Answers (1)
-
Below is part of a flow diagram for the contact process:
(Solved)
Below is part of a flow diagram for the contact process:

(a) Name :
I. Liquid Y
II. Liquid N
(b) Write the equation for the reaction taking place in;
I. Chamber Q
II. Chamber R
Date posted:
October 16, 2019
.
Answers (1)
-
The diagram show an experiment for investigating electrical conduction in lead (II) fluoride. Study it and answer the questions that follow:
(Solved)
The diagram show an experiment for investigating electrical conduction in lead (II) fluoride. Study it and answer the questions that follow:

(a) On the diagram
(i) Label the anode and the cathode
(ii) Complete the diagram by indicating the condition that is missing but must be present for
electrical conduction to take place.
(b) Why is it necessary to leave a gap between the cork and the boiling tube?
(c) State the observations that are expected at the electrodes during electrical conduction and at the experiment
(d) Write equations for the reactions that take place at the electrodes
(e) Why should this experiment be carried out in a fume chamber?
Date posted:
October 16, 2019
.
Answers (1)
-
Study the scheme below and answer the questions which follow:
(Solved)
Study the scheme below and answer the questions which follow:

Identify ;
(i) The cation present in solid S
(ii) The anion in solid S
(iii) Write an equation to show how solid S is heated in process T
Date posted:
October 16, 2019
.
Answers (1)
-
Starting with barium carbonate solid, dilute sulphuric acid and dilute nitric acid,describe how you would prepare dry barium sulphate solid
(Solved)
Starting with barium carbonate solid, dilute sulphuric acid and dilute nitric acid,describe how you would prepare dry barium sulphate solid
Date posted:
October 16, 2019
.
Answers (1)
-
Define the following terms:
(a) Crystallization
(b) Salting out as used in soap making
(Solved)
Define the following terms:
(a) Crystallization
(b) Salting out as used in soap making
Date posted:
October 16, 2019
.
Answers (1)
-
Differentiate between Electrolyte and non-electrolyte
(Solved)
Differentiate between Electrolyte and non-electrolyte
Date posted:
October 16, 2019
.
Answers (1)
-
When an electric current was passed through two molten substances E and F in separate
voltmeters. The observations recorded below were made:-
(Solved)
When an electric current was passed through two molten substances E and F in separate
voltmeters. The observations recorded below were made:-

Complete the table above
Date posted:
October 16, 2019
.
Answers (1)
-
The set-up was used to electrolyse Lead (II) bromide. Study it and answer the questions that follow;
(Solved)
The set-up was used to electrolyse Lead (II) bromide. Study it and answer the questions that follow;

(a) Write an ionic equation for the reaction that occurred at the cathode
(b) State and explain what happened at the anode
Date posted:
October 16, 2019
.
Answers (1)