-
The following are standard reduction potentials;
(Solved)
The following are standard reduction potentials;

Rewrite the
values of the above half-cells using iron as a reference electrode
Date posted:
October 31, 2019
.
Answers (1)
-
The following diagram represents the electrolysis of dilute sodium chloride solution using inert
electrodes
(Solved)
The following diagram represents the electrolysis of dilute sodium chloride solution using inert
electrodes

Determine the electrode at which different electrolytic products would be produced if the solution is electrolysed for several hours. Explain
Date posted:
October 31, 2019
.
Answers (1)
-
Use the cell representation below to answer the questions that follow:-
(Solved)
Use the cell representation below to answer the questions that follow:-
X(s) /X3+(aq) //W2+(aq) /W(s)
(a) Write the equation for the cell reaction above
(b) If the e.m.f of the cell is 0.30V and
value for W2+/W is -0.44volts, calculate the
for X3+(aq) /X(s)
Date posted:
October 31, 2019
.
Answers (1)
-
Name two types of isotopes of phosphorous
(Solved)
Name two types of isotopes of phosphorous
Date posted:
October 31, 2019
.
Answers (1)
-
The following are electrode potentials of the half cells
(Solved)
The following are electrode potentials of the half cells

Calculate the potential difference of the following cell.

Date posted:
October 31, 2019
.
Answers (1)
-
The standard hydrogen electrode is used as the reference electrode. Some of the difficulties in using hydrogen gas as an electrode are:
(Solved)
The standard hydrogen electrode is used as the reference electrode. Some of the difficulties in using hydrogen gas as an electrode are:
- Hydrogen is a gas at 25oC
- Hydrogen does not conduct electricity
-The half-cell reaction,
is slow and takes long to reach equilibrium.
Explain how these difficulties are solved in the standard hydrogen electrode
Date posted:
October 31, 2019
.
Answers (1)
-
The oxides of calcium and phosphorous react as shown below:-
(Solved)
The oxides of calcium and phosphorous react as shown below:-
6CaO(s) + P4O10(s)--------->2Ca3(PO4)2(s)
(i) Give a reason why these substances react and yet both are oxides
(ii) Work out the oxidation state of phosphorous in P4O10
(iii) State one use of Ca3(PO4)2
Date posted:
October 31, 2019
.
Answers (1)
-
Explain how the pollution caused by large scale extraction of Zinc can be reduced by having a fertilizer plant close to it.
(Solved)
Explain how the pollution caused by large scale extraction of Zinc can be reduced by having a fertilizer plant close to it.
Date posted:
October 31, 2019
.
Answers (1)
-
Give the chemical formula of Zinc blende
(Solved)
Give the chemical formula of Zinc blende
Date posted:
October 31, 2019
.
Answers (1)
-
The following is an equation for the reaction between ammonia and water
(Solved)
The following is an equation for the reaction between ammonia and water

Name the base in the backward reaction
Date posted:
October 31, 2019
.
Answers (1)
-
Calculate the volume at s.t.p of hydrogen evolved when 2A of electricity are passed
through dilute sulphuric acid for 2hours.
(Molar gas volume at s.t.p = 22.4dm3,...
(Solved)
Calculate the volume at s.t.p of hydrogen evolved when 2A of electricity are passed
through dilute sulphuric acid for 2hours.
(Molar gas volume at s.t.p = 22.4dm3, one Faraday= 96500coulombs)
Date posted:
October 31, 2019
.
Answers (1)
-
State Faradays First Law of Electrolysis
(Solved)
State Faradays First Law of Electrolysis
Date posted:
October 31, 2019
.
Answers (1)
-
Copper (II) sulphate solution was electrolysed using copper electrode. A Current of 0.5A was passed for 64.3 minutes and a mass of 0.64g of copper...
(Solved)
Copper (II) sulphate solution was electrolysed using copper electrode. A Current of 0.5A was
passed for 64.3 minutes and a mass of 0.64g of copper was deposited. (Cu = 63.5)
a) Which electrode decreased in mass during electrolysis? Explain
b) Calculate the quantity of charge needed to deposits 1 mole of copper
Date posted:
October 31, 2019
.
Answers (1)
-
A student set up the experiment shown below. Study it and answer the questions that follow.
(Solved)
A student set up the experiment shown below. Study it and answer the questions that follow.

a) State any two observations the student made during the experiment
b) Explain what happens to the pH of the resultant solution at the end of the experiment
Date posted:
October 31, 2019
.
Answers (1)
-
In the equation below identify the reagent that acts as an acid in the forward reaction.
Give a reason for your answer.
(Solved)
In the equation below identify the reagent that acts as an acid in the forward reaction.
Give a reason for your answer.

Date posted:
October 31, 2019
.
Answers (1)
-
The following table shows the standard reduction potentials of some half cells. Study the table and refer to it to answer the questions that follow;
(Solved)
The following table shows the standard reduction potentials of some half cells. Study the table and refer to it to answer the questions that follow;

a) Identify the strongest oxidizing agent
b) Which substance would be used to oxidize R- ion to the atom R
c) Study the cell represented below;

i) Identify the electrodes
ii) Write equations for the reaction taking place in each half- cell
iii) Determine the cell equation and the electromotive force (e.m.f) of the cell represented in
(c) above
iv) In which direction does the electrons flow in the external circuit of the cell whose e.m.f
is determined in (iii) above
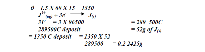
d) A steady current of 2.5A was passed for 15 minutes through a cell containing divalent ions
M2+. During this process 0.74g of metal M was deposited (IF = 96500C)
i) Calculate the quantity of electricity passed in this cell
ii) Determine the relative atomic mass of M
Date posted:
October 31, 2019
.
Answers (1)
-
The reaction between ammonia and oxygen to form Nitrogen (II) oxide is highly exothermic
(Solved)
The reaction between ammonia and oxygen to form Nitrogen (II) oxide is highly exothermic
4NH3(g) + 5O2(g)-------->4NO(g) + 6H2O(g)
The reaction is carried out in presence of platinium-rhodium catalyst at 1173k and a pressure of 911.952k pa.
Explain how each of the following would affect the yield of Nitrogen(II) oxide gas:
a) Reduction in pressure
b) Using a more efficient catalyst
Date posted:
October 31, 2019
.
Answers (1)
-
Sodium hydroxide may be manufactured by the electrolysis of brine as in the diagram below:-
(Solved)
Sodium hydroxide may be manufactured by the electrolysis of brine as in the diagram below:-

(i) State the chemical name of brine
(ii) Write the equations for the reactions at the electrodes
-Anode
-Cathode
(iii) Explain how sodium hydroxide is obtained from the product of this process
Date posted:
October 31, 2019
.
Answers (1)
-
The diagram below shows a Zinc –copper cell.
(Solved)
The diagram below shows a Zinc –copper cell.

(i) Given the standard electrode potential of Zinc is -0.76V and that of copper is +0.34V, suggest;
(i)The identity of W
(ii) The identity of X
(iii) The equation for the overall cell reaction
(iv) The reading on the voltmeter
Date posted:
October 31, 2019
.
Answers (1)
-
Cheptoo set-up some apparatus as shown in the diagram below:-
(Solved)
Cheptoo set-up some apparatus as shown in the diagram below:-

At the start of the experiment, the bulb did not light:-
(a) State and explain the observation made when the tap was opened to allow the hydrogen chloride gas through the water for about 20 minutes
(b) Write the chemical equation for the reaction that took place at the cathode
Date posted:
October 31, 2019
.
Answers (1)