-
Solve for x given that 2 sin x = tax x for 00 = x = 3600
(Solved)
Solve for x given that 2 sin x = tax x for 00 ≤ x ≤ 3600
Date posted:
November 2, 2019
.
Answers (1)
-
Given sin find cos (90 - theta) without using mathematical tables or calculators.
(Solved)
Given sin
find cos (90 - theta) without using mathematical tables or calculators.
Date posted:
November 2, 2019
.
Answers (1)
-
Make P the subject of the formula
(Solved)
Make P the subject of the formula

Date posted:
November 2, 2019
.
Answers (1)
-
The figure below shows a transverse pulley systems.
The wheels have radius 15cm and 10cm respectively. If O1X=30cm and XO2 =20cm
Calculate:
(a) AO1C
(b) DO2F
(c) Length AD...
(Solved)
The figure below shows a transverse pulley systems.

The wheels have radius 15cm and 10cm respectively. If O1X=30cm and XO2 =20cm
Calculate:
(a) AO1C
(b) DO2F
(c) Length AD to 4 decimal places
(d) Length BE
(e) Length of arc ABC and BEF.
(f) The length of the belt
Date posted:
November 2, 2019
.
Answers (1)
-
A bus left town A at 5:20am to town B 610km away at an average speed of 60km/hr. After 3 hrs 10 minutes, a van...
(Solved)
A bus left town A at 5:20am to town B 610km away at an average speed of 60km/hr. After 3 hrs 10 minutes, a van left town B and travelled towards A at an average speed of 80km/hr.
(a) (i) At what time did they meet
(ii) How far from A was the meeting point
b) A car left town B at 9:00am and travelled towards A at an average speed of 100km/hr.
Determine
(i) The time the car caught up with the van
(ii) The distance the car travelled to catch up with the van.
Date posted:
November 2, 2019
.
Answers (1)
-
A triangle has vertices P(1,2) Q(3,5) and R(5,3)
a) Draw triangle PQR and its image P1Q1R1 under a translation vector
b) Draw triangle PII QII RII ,...
(Solved)
A triangle has vertices P(1,2) Q(3,5) and R(5,3)
a) Draw triangle PQR and its image P1Q1R1 under a translation vector 
b) Draw triangle PII QII RII , the image of triangle PI QI RI under a rotation of half turn about the origin
c) Triangle PIII QIII RIII is the image of triangle PII QII RII under reflection in the line y=x.
Draw triangle PIII QIII RIII and state its co-ordinates.
d) Triangle PIII QIII RIII is reflected in the line x=0. State the co-ordinates of its image
Date posted:
November 2, 2019
.
Answers (1)
-
Find the equation of the normal to the curve y=x2 – 4x + 5 at the point (4,5)
(Solved)
Find the equation of the normal to the curve y=x2 – 4x + 5 at the point (4,5)
Date posted:
November 1, 2019
.
Answers (1)
-
Juma needs to import a car from Japan whose cost is US $ 5000 outside Kenya. He intends to buy the car through an agent...
(Solved)
Juma needs to import a car from Japan whose cost is US $ 5000 outside Kenya. He intends to buy the car through an agent who deals in Japanese yen. The agent will charge him 20% commission on the price of the car and a further 80325 Japanese yen for shipment of the car. How many Kshs will he need to send to the agent to get the car given that
1 US $ = 105.00 Japanese yen
1 US $ = KShs 63.00
Date posted:
November 1, 2019
.
Answers (1)
-
ABCD is a parallelogram. DAB=124o. The bisectors of angle BCD and angle ADC meet at x. Find angle DXC (Reflex)
(Solved)
ABCD is a parallelogram. DAB=124o. The bisectors of angle BCD and angle ADC meet at x. Find angle DXC (Reflex)

Date posted:
November 1, 2019
.
Answers (1)
-
Find the inequalities that defines the region marked R in the diagram below.
(Solved)
Find the inequalities that defines the region marked R in the diagram below.

Date posted:
November 1, 2019
.
Answers (1)
-
(a) Construct triangle PQR where PQ = 6cm, QR = 9cm and PR = 8cm.
(b)Drop a perpendicular from P to meet QR at M. Measure...
(Solved)
(a) Construct triangle PQR where PQ = 6cm, QR = 9cm and PR = 8cm.
(b)Drop a perpendicular from P to meet QR at M. Measure PM hence calculate the area of
triangle PQR
Date posted:
November 1, 2019
.
Answers (1)
-
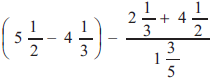
Evaluate
(Solved)
Evaluate 
Date posted:
November 1, 2019
.
Answers (1)
-
Simplify the expression and hence solve the equation
(Solved)
Simplify the expression
and hence solve the equation 
Date posted:
November 1, 2019
.
Answers (1)
-
Three quantities P, Q and R are such that P varies directly as the square of Q and inversely as the square root of R.
a)Given...
(Solved)
Three quantities P, Q and R are such that P varies directly as the square of Q and inversely as the square root of R.
a)Given that P = 20 when Q = 5 and R = 9. Find P when Q = 7 and R = 25
b)If Q increased by 20% and R decreased by 36%, find the percentage change in P
Date posted:
October 30, 2019
.
Answers (1)
-
a)Two blends of tea costing Ksh. 140 and Ksh.160 per kg respectively are mixed in the ratio 2:3 by mass. The mixture is sold at...
(Solved)
a)Two blends of tea costing Ksh. 140 and Ksh.160 per kg respectively are mixed in the ratio 2:3 by mass. The mixture is sold at sh.240 per kg.
i)Find the percentage profit
ii)In what ratio should the two blends be mixed to get a mixture that costs sh.148 per kg
b)A quantity P is partly constant and partly varies as the cube of Q. when Q = 2, P = 50 and when Q =4, P =330. Find the value of Q when P= 16885
Date posted:
October 30, 2019
.
Answers (1)
-
An aircraft leaves town P(300S,140W) and moves directly east to town Q at a speed of 270 knots for 12 hours. Determine;
a)The distance moved in...
(Solved)
An aircraft leaves town P(300S,140W) and moves directly east to town Q at a speed of 270 knots for 12 hours. Determine;
a)The distance moved in nautical miles
b)The distance moved in km (take 1nm = 1.853km)
c)The position of town Q
d)The local time at Q if the local time at P is 9.13pm. Give the answer to the nearest minute.
Date posted:
October 30, 2019
.
Answers (1)
-
The table below shows the ages in years of 60 candidates who vied on a political party for parliamentary elections in a certain country as...
(Solved)
The table below shows the ages in years of 60 candidates who vied on a political party for parliamentary elections in a certain country as recorded in a computer program.

Calculate;
a)The mean
b)The interquartile range of the data
c)The percentage of candidates whose ages were 54.5 years and below
d)The variance and standard deviation of the distribution using 44.5 as the working mean.
Date posted:
October 30, 2019
.
Answers (1)
-
The major arc of a circle subtends on an angle of 2400 at the centre of circle. Given that the, length of the arc is...
(Solved)
The major arc of a circle subtends on an angle of 2400 at the centre of circle. Given that the, length of the arc is 88cm calculate the diameter of the circle.
Date posted:
October 30, 2019
.
Answers (1)
-
Identify the stationery points of the curve y = x3 – 6x2 + 9x – 4 and state their nature.
(Solved)
Identify the stationery points of the curve y = x3 – 6x2 + 9x – 4 and state their nature.
Date posted:
October 30, 2019
.
Answers (1)
-
Three athletes, James David and Geoffrey are in a race. James is twice as likely to win as David while David is thrice as likely...
(Solved)
Three athletes, James David and Geoffrey are in a race. James is twice as likely to win as David while David is thrice as likely to win as Geoffrey. Find the probability that.
a)Geoffrey wins the race
b)James does not win the race.
Date posted:
October 30, 2019
.
Answers (1)