-
(a) Using a ruler and a compass only, construct triangle ABC in which BC = 8 cm,
angle ABC = 30° and angle ACB = 45°...
(Solved)
(a) Using a ruler and a compass only, construct triangle ABC in which BC = 8 cm,
angle ABC = 30° and angle ACB = 45° .
(b) At A drop a perpendicular to meet BC at D and measure AD.
Date posted:
November 8, 2019
.
Answers (1)
-
The distance from A to B is d km and that from B to C is x km. if a bus maintains an average speed...
(Solved)
The distance from A to B is d km and that from B to C is x km. if a bus maintains an average speed of 50 km/h between A and B and 60 km/h between B and C, it takes 3 hours to travel from A to C. If it maintains 60 km/h between A and B and 50 km/h between B and C, the journey takes 8 minutes less.
What is the distance from A to C via B?
Date posted:
November 8, 2019
.
Answers (1)
-
A cylindrical tank of diameter 1.4 m and height 1.2 m is two – thirds full of water. The tank if filled using a cylindrical...
(Solved)
A cylindrical tank of diameter 1.4 m and height 1.2 m is two – thirds full of water. The tank if filled using a cylindrical bucket of diameter 35 cm and diameter 20 cm. Find the number of buckets required to fill the tank.
Date posted:
November 8, 2019
.
Answers (1)
-
Solve for x in the equation 125-x × 52(x-2) = 25(x+2)
(Solved)
Solve for x in the equation 125-x × 52(x-2) = 25(x+2)
Date posted:
November 8, 2019
.
Answers (1)
-
a) Complete the table given below by filling the blank spaces.
b) On the grid provided draw on the same axes, the graph of y=4 cos2x...
(Solved)
a) Complete the table given below by filling the blank spaces.

b) On the grid provided draw on the same axes, the graph of y=4 cos2x and y=2 sin (2x +30o ) for OO ≤ X ≤180O . Take the scale 1cm for 15o on the x –axis and 1cm for 1 unit on the y-axis.
c) From your graph
i) State the amplitude of y= 4cos 2x.
ii) Find the period of y=2sin(2x +30o )
d) Use your graph to solve 4cos 2x – 2sin (2x + 30o ) = 0
Date posted:
November 8, 2019
.
Answers (1)
-
a) The first term of a geometric progression is 36. The sum of the first three terms is 27.
Calculate the common ratio and the value...
(Solved)
a) The first term of a geometric progression is 36. The sum of the first three terms is 27.
Calculate the common ratio and the value of the second term.
b) The first term of an AP is 2. The first term of a geometric sequence is also 2 and its common ratio
equals the common difference of the arithmetic sequence. The square of the fifth term of arithmetic
sequence exceeds the third term of the geometric sequence by 2. Find the common difference and the
sum of the first 50 terms of AP.
Date posted:
November 8, 2019
.
Answers (1)
-
The table below shows the income tax brackets for a certain year.
Mr.Bundi earns a monthly salary of ksh.45, 000. He gets a house allowance of...
(Solved)
The table below shows the income tax brackets for a certain year.

Mr.Bundi earns a monthly salary of ksh.45, 000. He gets a house allowance of ksh.13, 000 and a
commuter allowance of ksh.6, 000. He is entitled to a family relief of ksh.1, 166 per month. Find
a) Mr.Bundi’s taxable income in ksh per month.
b) Total tax payable per month in ksh. by Mr.Bundi.
c) Mr.Bundi’s net salary per month if the following deductions are also made monthly.
NHIF –ksh. 1500
Wcps 2% of basic salary.
Date posted:
November 8, 2019
.
Answers (1)
-
Two towns on latitude 30oS are 3000km apart. Find the longitude different of the two towns
(Solved)
(a) Two towns on latitude 30oS are 3000km apart. Find the longitude different of the two towns
(Take
and the radius of the earth to be 6370km)
(b) The positions of airport P and Q are (60oN,45oN) and Q(60oN,KoE). It takes a plane 5 hrs to travel due east from P to Q at an average speed of 600 knots
(i) Calculate the value of K
(ii) The local time at P is 10.45am, what is the local time at Q when the plane reaches where?
(c) Calculate the shortest distance between (30oS,36oE) and (30oS,144oW) in nautical miles
Date posted:
November 8, 2019
.
Answers (1)
-
The cash price of a camera is Sh.42,200. Joseph bought the camera on hire purchase (H.P) term by paying a deposit of Sh.7,200 and cleared...
(Solved)
The cash price of a camera is Sh.42,200. Joseph bought the camera on hire purchase (H.P) term by paying a deposit of Sh.7,200 and cleared the balance in 24 equal monthly installments each of Sh.2,250
(a) Find the amount of interest paid under hire purchase plan
(b) Ken took a loan from a financial institution and bought the camera with cash. He repaid the loan in two years at 18% interest compound semi-annualy. Find the total interest paid by Ken
(c) The cash price is taken as the value of the Camera. If the camera depreciated at a rate of 15% in the first year after buying and at P% p.a for rest of the time, calculate the value of p if the value of the camera after 5 years was Sh.23,534
Date posted:
November 8, 2019
.
Answers (1)
-
(a) A sequence is formed by adding corresponding terms of an A.P and a G.P. The first, second and third terms of the sequence formed...
(Solved)
(a) A sequence is formed by adding corresponding terms of an A.P and a G.P. The first, second and third terms of the sequence formed after adding the first three terms of the sequences are 14,34 and 78 respectively. Given that the first term of the A.P is a and the first term of the G.P is b, and that the common ratio of the G.P is 3; Find the first term of the AP and G.P and the common difference of the A.P
(b)The second and third terms of a geometric progression are 24 and 12(x+1) respectively. Given that the sum of the first three terms of the progression is 76, find the whole number value of x and hence the first term
Date posted:
November 8, 2019
.
Answers (1)
-
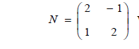
The points A1B1 and C1 are the images of A(4,1), B(0,-2) and C(-2,4)
(Solved)
(a) The points A1B1 and C1 are the images of A(4,1), B(0,-2) and C(-2,4) respectively under transformation represented by the matrix M=
write down the coordinates of A1B1C1
(b) A11B11C11 are the images of A1B1C1 under another transformation whose matrix is
write down the coordinates of A11B11C11
(c) Transformation m followed by N can be represented by a single transformation P. Determine the
matrix for P
(d) Another transformation has the matrix T = 
Determine the matrix for transformation m followed by N and T in that order
Date posted:
November 8, 2019
.
Answers (1)
-
The diagram below shows a square based pyramid V vertices above the middle of the base. PQ=10cm and VR=13cm M is the midpoint of VR
(Solved)
The diagram below shows a square based pyramid V vertices above the middle of the base. PQ=10cm and VR=13cm M is the midpoint of VR

Find
(a)(i) the length PR
(ii) the height of the pyramid
(b)(i) the angle between VR and the base PQRS
(ii) the angle between PM and the base PQRS
(iii) the angle between the planes QVR and PQRS
Date posted:
November 8, 2019
.
Answers (1)
-
Given that OA= -i +j, OB=3i+5j and OC= 11i+13j. Show that A, B and C are collinear.
(Solved)
Given that OA= -i +j, OB=3i+5j and OC= 11i+13j. Show that A, B and C are collinear.
Date posted:
November 8, 2019
.
Answers (1)
-
Three towns X,Y and Z are such that Y is 50km South of X and Z is on a bearing of 300o from Y. Calculate...
(Solved)
Three towns X,Y and Z are such that Y is 50km South of X and Z is on a bearing of 300o from Y. Calculate the angle XZY given that XZ is 70km.
Date posted:
November 8, 2019
.
Answers (1)
-
A transformation matrix maps an object of area 21cm2 to an image of area 42cm2. Determine the value of p.
(Solved)
A transformation matrix
maps an object of area 21cm2 to an image of area 42cm2. Determine the value of p.
Date posted:
November 8, 2019
.
Answers (1)
-
The points P and Q are 7.4cm apart. By construction locate the locus R such that PR=2.5cm and angle PRQ=90o.
(Solved)
The points P and Q are 7.4cm apart. By construction locate the locus R such that PR=2.5cm and angle PRQ=90o.
Date posted:
November 8, 2019
.
Answers (1)
-
Find the radius and the coordinates of the centre of the circle whose equation is
2x2 + 2y2 – 3x +2y + 1/2 = 0
(Solved)
Find the radius and the coordinates of the centre of the circle whose equation is
2x2 + 2y2 – 3x +2y + 1/2 = 0
Date posted:
November 8, 2019
.
Answers (1)
-
A bag contains 2 white balls and 3 black balls. A second bag contained 3 white balls and 2 black balls. The balls are identical...
(Solved)
A bag contains 2 white balls and 3 black balls. A second bag contained 3 white balls and 2 black balls. The balls are identical except for the colours. Two balls are drawn at random, one after the other from the first bag and placed in the second bag. Calculate the probability that the two balls are both white.
Date posted:
November 8, 2019
.
Answers (1)
-
A circle whose equation is x2+y2+4x-10y+4=0 touches a straight line (-7,3). Find the equation of the line
(Solved)
A circle whose equation is x2+y2+4x-10y+4=0 touches a straight line (-7,3). Find the equation of the line
Date posted:
November 8, 2019
.
Answers (1)
-
Find the value of x given that the matrix is a singular matrix.
(Solved)
Find the value of x given that the matrix is a singular matrix.

Date posted:
November 8, 2019
.
Answers (1)