-
The length of three wires are 36m, 48m and 72m. pieces of wire of equal lengths were cut from the three wires, calculate the least...
(Solved)
The length of three wires are 36m, 48m and 72m. pieces of wire of equal lengths were cut from the three wires, calculate the least number of pieces obtained.
Date posted:
November 12, 2019
.
Answers (1)
-
Calculate the value of using factor notation.
(Solved)
Calculate the value of
using factor notation.
Date posted:
November 12, 2019
.
Answers (1)
-
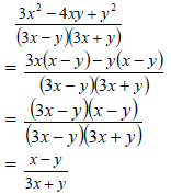
Evaluate leaving your answer in simplified form
(Solved)
Evaluate leaving your answer in simplified form

Date posted:
November 12, 2019
.
Answers (1)
-
(a) Using a ruler and a pair of compasses only. Construct triangle ABC in which AB = 5cm, BC = 4.5cm and BAC = 600
(b)...
(Solved)
(a) Using a ruler and a pair of compasses only. Construct triangle ABC in which AB = 5cm, BC = 4.5cm and BAC = 600
(b) On the same side of AB as C:
(i) Determine the locus of a point P such that ∠APB=600
(ii) Construct the locus R such that AR ˃ 2cm
(iii) Determine the region T such that ACT ≥ BCT
Date posted:
November 12, 2019
.
Answers (1)
-
Two baskets X and Y contain identical balls except for the colors. Basket X contains 6 red balls and 3 black balls. Basket Y contains...
(Solved)
Two baskets X and Y contain identical balls except for the colors. Basket X contains 6 red balls and 3 black balls. Basket Y contains 2 red balls and 3 black balls.
(a) If a ball is drawn at random from each basket, find the probability that both balls are of the same color.
(b) If two balls are drawn at random from each basket, one ball at a time without replacement, find the probability that:-
(i) The two balls drawn from basket X or basket Y are red.
(ii) All the four balls drawn are red.
Date posted:
November 12, 2019
.
Answers (1)
-
Mrs. Beth wants to buy a flat screen television set on hire purchase. The cash price is Kshs. 28,000. She can pay the cash price...
(Solved)
Mrs. Beth wants to buy a flat screen television set on hire purchase. The cash price is Kshs. 28,000. She can pay the cash price or make a down payment of Kshs. 8,000 and 15 monthly instalments of Kshs. 2,000 each. Calculate the rate of compound interest charged per month.
Date posted:
November 12, 2019
.
Answers (1)
-
Under a transformation whose matrix y = a triangle whose area is 13.5cm2 is mapped on the triangle whose area is 54cm2. Find two...
(Solved)
Under a transformation whose matrix y =
a triangle whose area is 13.5cm2 is mapped on the triangle whose area is 54cm2. Find two possible values of x.
Date posted:
November 12, 2019
.
Answers (1)
-
Make r the subject in the formula:
(Solved)
Make r the subject in the formula:

Date posted:
November 12, 2019
.
Answers (1)
-
Evaluate without using mathematical tables or calculators:
2 Log105 – ½ Log1016 + 2 Log1040
(Solved)
Evaluate without using mathematical tables or calculators:
2 Log105 – ½ Log1016 + 2 Log1040
Date posted:
November 12, 2019
.
Answers (1)
-
Use logarithm table to evaluate:
(Solved)
Use logarithm table to evaluate:

Date posted:
November 12, 2019
.
Answers (1)
-
(a) Fill the table below to 2 d.p for the curves given by y = 3 sin (2? + 30°) and y = Cos 2?...
(Solved)
(a) Fill the table below to 2 d.p for the curves given by y = 3 sin (2χ + 30°) and y = Cos 2χ for χ values in the range O ≤ χ ≤ 180°.

(b) Draw the graphs of y = 3 Sin (2χ + 30°) and y= Cos 2χ on same axes.
Date posted:
November 11, 2019
.
Answers (1)
-
The displacement, s metres of a moving particle from a point O, after t seconds is given by,
s= t3-5t2+3t +10.
(a) Find s when t= 2...
(Solved)
The displacement, s metres of a moving particle from a point O, after t seconds is given by,
s= t3-5t2+3t +10.
(a) Find s when t= 2
(b) Determine:
(i) the velocity of the particle when t= 5 seconds;
(ii) the value of t when the particle is momentarily at rest
(c) Find the time, when the velocity of the particle is maximum.
Date posted:
November 11, 2019
.
Answers (1)
-
Points A,B,C and D are situated on a horizontal plane such that B is 200m on a bearing of 065° from
A.C is 300m on a...
(Solved)
Points A,B,C and D are situated on a horizontal plane such that B is 200m on a bearing of 065° from
A.C is 300m on a bearing of 120° from B and D is 150m due west of C. Using 1cm to rep 50m,
(a) Draw an accurate scale drawing representing positions ABC and D.
(b) From your drawing, Measure the distance and bearing of
(i) D from A.
(ii) B from D
(c) By construction, show the shortest distance from B to line AD.
Date posted:
November 11, 2019
.
Answers (1)
-
The figure below shows a sector of a circle. If the radius OA = 14cm and the angle AOB =720.
(a) Calculate the area of the...
(Solved)
The figure below shows a sector of a circle. If the radius OA = 14cm and the angle AOB =720.

(a) Calculate the area of the sector.
(b) The sector is folded to form a cone. Calculate:-
(i) The radius of the cone formed.
(ii) The volume of the solid formed.
(c) A solid cone of same size in (b) above is melted down and casted into circular washers. Each washer
has an external diameter of 4cm, internal diameter of 1½ cm and 0.3cm thick. Calculate number of washers made.
Date posted:
November 11, 2019
.
Answers (1)
-
The table below shows the marks scored by form four students in a mathematical test.
(a) State the modal class.
(b) Calculate the mean mark.
(c) Calculate...
(Solved)
The table below shows the marks scored by form four students in a mathematical test.

(a) State the modal class.
(b) Calculate the mean mark.
(c) Calculate the 70th mark.
(d) Draw a histogram to represent this information.
Date posted:
November 11, 2019
.
Answers (1)
-
A group of choir members decided to raise 3600/= to buy a guitar. Each member was to contribute equal amount. In the preparation process five...
(Solved)
A group of choir members decided to raise 3600/= to buy a guitar. Each member was to contribute equal amount. In the preparation process five members transferred to another church, that meant the remaining contributors had to pay more to achieve the target.
(a) Show that the increase in the contribution per member was:
Sh. 18,000/n(n-5) if n is the initial number of members.
(b) If the increase in the contribution per member was sh. 24, what was the original contribution before
the other members left?
(c) Calculate the percentage increase in the contribution before the others left.
Date posted:
November 11, 2019
.
Answers (1)
-
The sum of interior angles of a regular polygon is 24 times the size of the exterior angle.
(a) Find the number of sides in the...
(Solved)
The sum of interior angles of a regular polygon is 24 times the size of the exterior angle.
(a) Find the number of sides in the polygon.
(b) Name the polygon.
Date posted:
November 11, 2019
.
Answers (1)
-
A tourist arrived from USA and changed his US $1500 TO Ksh. He spent Ksh. 3000 per night in a hotel for 20 nights and...
(Solved)
A tourist arrived from USA and changed his US $1500 TO Ksh. He spent Ksh. 3000 per night in a hotel for 20 nights and a further Ksh. 9000 daily for the entire period. He left for South Africa having changed the balance to South African Rand.
Calculate the amount of South African Rands he was left with, if the bank buys and sells currencies
using the table below.

Date posted:
November 11, 2019
.
Answers (1)
-
Given that PQ = , determine: OP and find the magnitude of OP giving your answer in surd form.
(Solved)
Given that PQ =
, determine: OP and find the magnitude of OP giving your answer in surd form.
Date posted:
November 11, 2019
.
Answers (1)
-
The travel timetable below shows the departure and arrival time for a bus plying between two towns M and R, 300 kilometres apart.
Calculate the average...
(Solved)
The travel timetable below shows the departure and arrival time for a bus plying between two towns M and R, 300 kilometres apart.

Calculate the average speed for the whole journey.
Date posted:
November 11, 2019
.
Answers (1)