-
The matrices A re such that AB = A + B Find a, b, and c.
(Solved)
The matrices A
re such that AB = A + B Find a, b, and c.
Date posted:
November 13, 2019
.
Answers (1)
-
Eighteen labourers dig a ditch 80m long in 5 days. How long will it take 24 labourers to dig a ditch 64 m long?
(Solved)
Eighteen labourers dig a ditch 80m long in 5 days. How long will it take 24 labourers to dig a ditch 64 m long?
Date posted:
November 13, 2019
.
Answers (1)
-
Make b the subject of the formula.
(Solved)
Make b the subject of the formula.

Date posted:
November 13, 2019
.
Answers (1)
-
Find cos x – Sin x, if tan x= ¾ and 90o = x = 360o.
(Solved)
Find cos x – Sin x, if tan x= ¾ and 90o ≤ x ≤ 360o.
Date posted:
November 13, 2019
.
Answers (1)
-
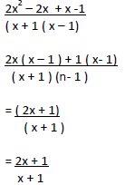
Factorise x2 – y2, hence evaluate 32822 - 32722
(Solved)
Factorise x2 – y2, hence evaluate 32822 - 32722
Date posted:
November 13, 2019
.
Answers (1)
-
(a) After t seconds, a particle moving along a straight line has a velocity of Vm/s and an
acceleration of (5 – 2t)m/s². the particles initial...
(Solved)
(a) After t seconds, a particle moving along a straight line has a velocity of Vm/s and an
acceleration of (5 – 2t)m/s². the particles initial velocity is 2m/s.
(i) Express V in terms of t.
(ii) Determine the velocity of the particle at the beginning of the third second.
(b) Find the time taken by the particle to attain maximum velocity and the distance it covered to attain the maximum velocity.
Date posted:
November 13, 2019
.
Answers (1)
-
Andai recorded data on observation of time spent by a local university’s first year bachelor of Commerce students at library as follows;-
Calculate:
a) The mean
b)...
(Solved)
Andai recorded data on observation of time spent by a local university’s first year bachelor of Commerce students at library as follows;-

Calculate:
a) The mean
b) The median
Date posted:
November 13, 2019
.
Answers (1)
-
(a) On the Cartesian plane below, draw the quadrilateral PQRS with vertices P(4,6), Q(6,3), R(4,4), and S(2,3)
(b) Draw P'Q'R'S' the image of PQRS under the...
(Solved)
(a) On the Cartesian plane below, draw the quadrilateral PQRS with vertices P(4,6), Q(6,3), R(4,4), and S(2,3)
(b) Draw P′Q′R′S′ the image of PQRS under the transformation defined by the translation vector
Write down the coordinates of P′Q′R′S′.
(c) P′′Q′′R′′S′′ is the image of P′Q′R′S′ when reflected in the line y = 1. On the same plane, draw P′′Q′′R′′S′′.
(d) Draw P′′′Q′′′R′′′S′′′ the image P′′Q′′R′′S′′ when reflected in the line y – x = 0
(e) Find by construction, the centre of the rotation that maps P′′′Q′′′R′′′S′′′ onto PQRS and hence determine the coordinates of the centre of the rotation and the angle of the rotation.
Date posted:
November 13, 2019
.
Answers (1)
-
The figure below shows a rectangular sheet of metal whose length is twice its width.
An open rectangular tank is made by cutting equal squares of...
(Solved)
The figure below shows a rectangular sheet of metal whose length is twice its width.

An open rectangular tank is made by cutting equal squares of length 60 cm from each of its four corners and folding along the dotted lines shown in the figure above. Given that the capacity of the tank so formed is 1920 litres and the width of the metal sheet used was x cm;
a) (i) Express the volume of the tank formed in terms of x cm.
(ii) Hence or otherwise obtain the length and width of the sheet of metal that was used.
b) If the cost of the metal sheet per m2 is Kshs 1000 and labour cost for making the tank is 300 per hour.
Find the selling price of the tank in order to make a 30% profit if it took 6 hours to make the tank.
Date posted:
November 13, 2019
.
Answers (1)
-
A village Q is 7 km from village P on a bearing of 0450. Village R is 5 km from village Q on a bearing...
(Solved)
A village Q is 7 km from village P on a bearing of 0450. Village R is 5 km from village Q on a bearing of 1200 and village S is 4 km from village R on a bearing of 2700.
a) Taking a scale of 1 m to represent 1 Km, locate the three villages.
b) Use the scale drawing to find the:
i. Distance and bearing of the village R from village P.
ii. Distance and bearing of village P from village S.
iii. Area of the polygon PQRS to the nearest 4 significant figures.
Date posted:
November 13, 2019
.
Answers (1)
-
a) Find A-1, the inverse of matrix A =
b) Ibanda sells white and brown loaves of bread in his kiosk. On a certain day he...
(Solved)
a) Find A-1, the inverse of matrix A = 
b) Ibanda sells white and brown loaves of bread in his kiosk. On a certain day he sold 6 white loaves of bread and 5 brown ones for a total of Kshs. 520. The next day he sold 4 white loaves and 7 brown ones for a total of Kshs. 530.
i. Form a matrix equation to represent the above information.
ii. Use matrix method to find the price of a white loaf of bread and that of a brown loaf of bread.
c) A school canteen bought 240 white loaves of bread and 100 brown loaves of bread. A discount of 10% was allowed on each white loaf whereas a discount of 13% was allowed on each brown loaf of bread. Calculate the percentage discount on the cost of all the loaves of bread bought.
Date posted:
November 13, 2019
.
Answers (1)
-
A sector of angle 1080 is cut from a circle of radius 20 cm. It is folded to form a cone.
Calculate:
(a) The curved surface area...
(Solved)
A sector of angle 1080 is cut from a circle of radius 20 cm. It is folded to form a cone.
Calculate:
(a) The curved surface area of the cone.
(b) The base radius of the cone.
(c) The vertical height of the cone.
(d) If 12 cm of the cone is chopped off to form a frustrum as shown below.

Calculate the volume of the frustum formed.
Date posted:
November 13, 2019
.
Answers (1)
-
Nyongesa is a sales executive earning a salary of Kshs. 120,000 and a commission of 8% for the sales in excess of Kshs. 1,000,000. If...
(Solved)
Nyongesa is a sales executive earning a salary of Kshs. 120,000 and a commission of 8% for the sales in excess of Kshs. 1,000,000. If in January he earned a total of Kshs. 480,000 in salaries and commission.
(a) Determine the amount of sales he made in the month of January.
(b) If the total sales in the month of February increased by 18% and in the month of March dropped by 30% respectively;
Calculate:-
(i) Nyongesa’s commission in the month of February.
(ii) His total earning in the month of March.
Date posted:
November 13, 2019
.
Answers (1)
-
The figure below shows two sectors in which AB and CD are arcs of concentric circles centre O.
Angle AOB = 2/5 radians and AD =...
(Solved)
The figure below shows two sectors in which AB and CD are arcs of concentric circles centre O.
Angle AOB = 2/5 radians and AD = BC = 5 cm.

Given that the perimeter of the shape ABCD is 24 cm, calculate the length of OA.
Date posted:
November 13, 2019
.
Answers (1)
-
A solid consists of a cone and a hemisphere. The common diameter of the cone and the hemisphere is 12 cm and the slanting height...
(Solved)
A solid consists of a cone and a hemisphere. The common diameter of the cone and the hemisphere is 12 cm and the slanting height of the cone is 10 cm. Calculate correct to two decimal places, the surface area of the solid.
Date posted:
November 13, 2019
.
Answers (1)
-
Solve for y given that y is acute and sin (3y – 500) – cos (2y + 100) = 0
(Solved)
Solve for y given that y is acute and sin (3y – 500) – cos (2y + 100) = 0
Date posted:
November 13, 2019
.
Answers (1)
-
Factorise Completely:-
x4 – 2x2y2 + y4
(Solved)
Factorise Completely:-
x4 – 2x2y2 + y4
Date posted:
November 13, 2019
.
Answers (1)
-
Janice, a fruit vendor obtained a total of Kshs. 6144 from her sales of oranges on Saturday at Kshs. 8.00 each. She had bought 560...
(Solved)
Janice, a fruit vendor obtained a total of Kshs. 6144 from her sales of oranges on Saturday at Kshs. 8.00 each. She had bought 560 more oranges to add to what had remained on Friday where she had sold 240 more oranges than on Thursday. She had sold 750 oranges on Thursday. Calculate the total number of oranges Janice had bought on Thursday.
Date posted:
November 13, 2019
.
Answers (1)
-
Using a ruler and a pair of compasses only, construct a rhombus PQRS such that PQ = 6 cm and angle PQR = 1350 hence...
(Solved)
Using a ruler and a pair of compasses only, construct a rhombus PQRS such that PQ = 6 cm and angle PQR = 1350 hence measure the shortest diagonal.
Date posted:
November 13, 2019
.
Answers (1)
-
Complete the diagram below so as to make a net for a cuboid. Hence find the surface area of the cuboid.
(Solved)
Complete the diagram below so as to make a net for a cuboid. Hence find the surface area of the cuboid.

Date posted:
November 13, 2019
.
Answers (1)