-
In the equation below, identify the substance that acts as a base in the backward reaction. Explain your answer.
(Solved)
In the equation below, identify the substance that acts as a base in the backward reaction. Explain your answer.

Date posted:
November 14, 2019
.
Answers (1)
-
State any two factors which affect the rate of chemical reaction.
(Solved)
State any two factors which affect the rate of chemical reaction.
Date posted:
November 14, 2019
.
Answers (1)
-
What is meant by ‘rate of reaction?
(Solved)
What is meant by ‘rate of reaction?
Date posted:
November 14, 2019
.
Answers (1)
-
20.0 cm3 of a solution containing 2.7g/dm3 of an alkali XOH completely reacted with 25.0 cm3 of 0.045M sulphuric (VI) acid. Calculate the relative atomic...
(Solved)
20.0 cm3 of a solution containing 2.7g/dm3 of an alkali XOH completely reacted with 25.0 cm3 of 0.045M sulphuric (VI) acid. Calculate the relative atomic mass of X. (O=16, H=1)
Date posted:
November 14, 2019
.
Answers (1)
-
Sulphur (IV) oxide gas was bubbled through acidified potassium dichromate (VI) solution. Acidified barium nitrate solution was then added to the mixture. Explain the observations...
(Solved)
Sulphur (IV) oxide gas was bubbled through acidified potassium dichromate (VI) solution. Acidified barium nitrate solution was then added to the mixture. Explain the observations made.
Date posted:
November 14, 2019
.
Answers (1)
-
Use the information in the table to answer the questions that follow.
(Solved)
Use the information in the table to answer the questions that follow.

A mixture containing 34g of CuSO4 and 70g of AgNO3 in 100g of water at 70oC was cooled to 30oC.
a. Which salt crystallized out?
b.Calculate the mass of the crystals formed.
Date posted:
November 14, 2019
.
Answers (1)
-
Substance A and B reacted to form a gaseous product AB3 as shown in the following equation below.
(Solved)
Substance A and B reacted to form a gaseous product AB3 as shown in the following equation below.

The figure below shows how the percentage of gas AB3 in the equilibrium mixture changes with temperature.

(a) Explain how the percentage of AB3 gas changes as shown in the figure.
(b) On the axes below, sketch a graph showing how percentage of AB3 gas at equilibrium with the mixture changes with pressure.
Date posted:
November 14, 2019
.
Answers (1)
-
In an experiment, a mixture of 126.0 cm3 nitrogen and 120.0 cm3 hydrogen gases was heated in the presence of iron catalyst. Determine the composition...
(Solved)
In an experiment, a mixture of 126.0 cm3 nitrogen and 120.0 cm3 hydrogen gases was heated in the presence of iron catalyst. Determine the composition of the resultant gaseous mixture.
Date posted:
November 14, 2019
.
Answers (1)
-
A polymer has the following structure;
(Solved)
A polymer has the following structure;

Give the name of the monomer for the polymer above, and draw its structure.
Date posted:
November 14, 2019
.
Answers (1)
-
Give the systematic names of the following:
(Solved)
Give the systematic names of the following:

Date posted:
November 14, 2019
.
Answers (1)
-
What mass of copper would be deposited from a solution of copper (II) chloride when a current of 3.0A is passed through the copper (II)...
(Solved)
What mass of copper would be deposited from a solution of copper (II) chloride when a current of 3.0A is passed through the copper (II) chloride solution during electrolysis for 50 minutes? (Cu = 63.5, Faraday’s constant= 96,500 Coulombs)
Date posted:
November 13, 2019
.
Answers (1)
-
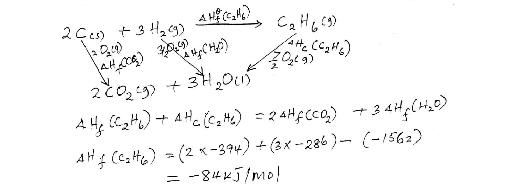
In a class experiment, 5.0g of ethanol were completely burnt and all the heat evolved was used to heat 500cm3 of water from 20o to...
(Solved)
In a class experiment, 5.0g of ethanol were completely burnt and all the heat evolved was used to heat 500cm3 of water from 20o to 80oC. (Given that the specific heat capacity of water = 4.18Jg-1oC-1, density of water = 1.0gcm-3, C = 12, O = 16, H = 1.0)
i. Write a balanced equation to show the reaction that takes place when ethanol burns.
ii. Calculate the heat energy:
I. Absorbed by the water
II. Given out when one mole of ethanol was burned completely.
Date posted:
November 13, 2019
.
Answers (1)
-
Complete the following nuclear equation
(Solved)
(a) Complete the following nuclear equation

(b) 100g of a radioactive substance was reduced to 12.5g within 15.6 years. Determine
the half-life of the substance
Date posted:
November 7, 2019
.
Answers (1)
-
Study the information in the following table and answer the questions that follow. The letters do not represent the actual chemical symbols of the elements.
(Solved)
Study the information in the following table and answer the questions that follow. The letters do not represent the actual chemical symbols of the elements.

Which of the above elements are:
(i) Likely to be radioactive?
(ii) Able to form a compound with the highest ionic character?
Date posted:
November 7, 2019
.
Answers (1)
-
Study the nuclear reactions given and answer the questions that follow:
(Solved)
Study the nuclear reactions given and answer the questions that follow:

(a) Write an equation for the nuclear reaction in step II
(b) Give one use of Y
Date posted:
November 6, 2019
.
Answers (1)
-
Some two elements are represented as:
(Solved)
Some two elements are represented as:

(a) How many protons does X have?
(b) How many neutrons does Y have?
Date posted:
November 6, 2019
.
Answers (1)
-
What effect do excessive exposures of radiation have on metals?
(Solved)
What effect do excessive exposures of radiation have on metals?
Date posted:
November 6, 2019
.
Answers (1)
-
The graph below shows the radioactive decay of a certain nuclide. Determine the half-life of the nuclide
(Solved)
The graph below shows the radioactive decay of a certain nuclide. Determine the half-life of the nuclide

Date posted:
November 6, 2019
.
Answers (1)
-
Uranium -238 disintegrates by emitting an alpha particle to form substance Y.
Nuclide Y emits a beta particle to form substance Z. Write down nuclear equations...
(Solved)
Uranium -238 disintegrates by emitting an alpha particle to form substance Y.
Nuclide Y emits a beta particle to form substance Z. Write down nuclear equations to show how
substance Y and Z are formed (U=At No. 92)
Date posted:
November 6, 2019
.
Answers (1)
-
Complete the nuclear equation below:-
(Solved)
Complete the nuclear equation below:-

Date posted:
November 6, 2019
.
Answers (1)