-
a) Expand and simplify the expression (1+2x)6.
b) Use the first four terms of the expression in (a) above to find the approximate value of (1.02)6.
(Solved)
a) Expand and simplify the expression (1+2x)6.
b) Use the first four terms of the expression in (a) above to find the approximate value of (1.02)6.
Date posted:
November 20, 2019
.
Answers (1)
-
A two digit number is such that the product of its tens and ones is 56.When the digits are reversed the number formed exceeds the...
(Solved)
A two digit number is such that the product of its tens and ones is 56.When the digits are reversed the number formed exceeds the original number by 9. Find the number.
Date posted:
November 20, 2019
.
Answers (1)
-
Two taps P and Q can fill a cistern in 6 minutes and 4 minutes respectively. Another tap R can drain the same cistern in...
(Solved)
Two taps P and Q can fill a cistern in 6 minutes and 4 minutes respectively. Another tap R can drain the same cistern in 8 minutes. Tap Q and R are opened for 2 minutes and then tap P is opened. Find the time taken to fill the cistern.
Date posted:
November 20, 2019
.
Answers (1)
-
The area of a sector of a circle of radius 15cm is 270cm2 .If the area of the sector subtends
an angle Ø at the centre...
(Solved)
The area of a sector of a circle of radius 15cm is 270cm2 .If the area of the sector subtends
an angle Ø at the centre of the circle, calculate: Use π= 22/7
a) The size of angle Ø in radians
b) The length of the arc subtended by the angle Ø
Date posted:
November 20, 2019
.
Answers (1)
-
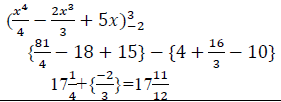
Without using tables or calculator evaluate
(Solved)
Without using tables or calculator evaluate

Date posted:
November 20, 2019
.
Answers (1)
-
During the 1998 Safari rally, our local driver Patrick Njiru covered 550km in 2hours.Find the percentage error in his speed.
(Solved)
During the 1998 Safari rally, our local driver Patrick Njiru covered 550km in 2hours.Find the percentage error in his speed.
Date posted:
November 20, 2019
.
Answers (1)
-
In the figure below PQ is parallel to RS. PS and QR intersect at A. Given that PQ=9cm, RS=3cm and AS=4cm, calculate the length of...
(Solved)
In the figure below PQ is parallel to RS. PS and QR intersect at A. Given that PQ=9cm, RS=3cm and AS=4cm, calculate the length of PS.

Date posted:
November 20, 2019
.
Answers (1)
-
Make V the subject of the formula
Mgh - 1/2 mV2 = 1
(Solved)
Make V the subject of the formula
Mgh - 1/2 mV2 = 1
Date posted:
November 20, 2019
.
Answers (1)
-
Use logarithm, correct to 4 decimal places to evaluate
(Solved)
Use logarithm, correct to 4 decimal places to evaluate

Date posted:
November 20, 2019
.
Answers (1)
-
In the diagram below ABE is a tangent to a circle at B and DCE is a straight line.
If o, o...
(Solved)
In the diagram below ABE is a tangent to a circle at B and DCE is a straight line.
If o, o and O is the centre of the circle.

Find the value of
Date posted:
November 20, 2019
.
Answers (1)
-
Elvis exchanged Ksh.600,000 to Sterling pounds. After settling the bills worth £1200, he changed the balance to Euros. He then purchased goods worthy 200 Euros....
(Solved)
Elvis exchanged Ksh.600,000 to Sterling pounds. After settling the bills worth £1200, he changed the balance to Euros. He then purchased goods worthy 200 Euros. Using the exchange rates below, calculate his balance in Kenyan shillings.
Buying (Ksh) Selling (Ksh)
1 Sterling pound 114.20 114.50
1 Euro 101.20 101.30
Date posted:
November 20, 2019
.
Answers (1)
-
Evaluate
(Solved)
Evaluate 
Date posted:
November 20, 2019
.
Answers (1)
-
The positions of three towns on the earth’s surface are given as P (600N, 550W), Q (200S, 550W) S (600N, 1250E) respectively (Take R =...
(Solved)
The positions of three towns on the earth’s surface are given as P (600N, 550W), Q (200S, 550W) S (600N, 1250E) respectively (Take R = 6370km and π = 22/7)
a) Calculate the distance:
i. PQ in nautical miles.
ii. PS along the parallel of latitude in km.
iii. The shortest distance between P and S.
b) A plane leaves town T (840S, 100E) and flies westwards for 6 ½ hrs at a speed of 268 knots and reaches town R (840S, X0). Find the longitude X, give your answer to the nearest degree.
Date posted:
November 20, 2019
.
Answers (1)
-
A transformation whose matrix is maps a quadrilateral ABCD onto another quadrilateral A’B’C’D’ whose area is 540????2. Find the area of the quadrilateral ABCD.
(Solved)
A transformation whose matrix is
maps a quadrilateral ABCD onto another quadrilateral A’B’C’D’ whose area is 540𝑐𝑚2. Find the area of the quadrilateral ABCD.
Date posted:
November 20, 2019
.
Answers (1)
-
Two machines M and N produce 60% and 40% respectively of the total number of items manufactured in a factory. It is observed that 5%...
(Solved)
Two machines M and N produce 60% and 40% respectively of the total number of items manufactured in a factory. It is observed that 5% of items produced by machine M are defective while 3% of the items produced by machine N are defective. If an item is selected at random from the factory, find the probability that it is defective.
Date posted:
November 20, 2019
.
Answers (1)
-
Trains A and B are moving in opposite directions on parallel tracks. Train A is 56 metres long and is moving at a speed of...
(Solved)
Trains A and B are moving in opposite directions on parallel tracks. Train A is 56 metres long and is moving at a speed of 63km/h. Train B is 90 metres long and is moving at a speed of 45km/h. The two trains are about to start passing each other. Calculate the time, to the nearest second, that they will take to completely pass each other.
Date posted:
November 20, 2019
.
Answers (1)
-
ABCD and MNPQ in the figure below are two shutters of a window. The shutters are identical and square in shape. Both shutters are opened...
(Solved)
ABCD and MNPQ in the figure below are two shutters of a window. The shutters are identical and square in shape. Both shutters are opened through an angle of 58°.

If each edge of the shutter is 70cm long, find the shortest distance from C to M.
Date posted:
November 20, 2019
.
Answers (1)
-
In the figure below, ABC is a tangent to the circle BDEF at B. BC = 17cm, DC = 10cm and BG = 15cm. chord...
(Solved)
In the figure below, ABC is a tangent to the circle BDEF at B. BC = 17cm, DC = 10cm and BG = 15cm. chord FD intersects chord BE at G and FG: GD = 1: 5

Find the length of;
a) GD
b) GE
Date posted:
November 20, 2019
.
Answers (1)
-
Using matrices solve the following pair of simultaneous equations
6y - 2x + 20 = 0
3x - 7y - 26 = 0
(Solved)
Using matrices solve the following pair of simultaneous equations
6y − 2x + 20 = 0
3x − 7y − 26 = 0
Date posted:
November 20, 2019
.
Answers (1)
-
Two taps, A and B, when opened at the same time can fill a tank in 3 hours 36 minutes. Tap A working alone takes...
(Solved)
Two taps, A and B, when opened at the same time can fill a tank in 3 hours 36 minutes. Tap A working alone takes 3 hours longer than Tap B to fill the tank. How many hours does it take Tap A alone to fill the tank?
Date posted:
November 20, 2019
.
Answers (1)