DISCOUNTED CASHFLOW METHODS
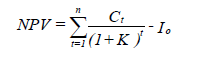
1. Net Present Value (NPV)
This is defined mathematically as the present value of cashflow less the initial outflow.

Where Ct is the cashflow
K is the opportunity cost of capital
Io is the initial cash outflow
n is the useful life of the project
Decision Rule using NPV
The decision rule under NPV is to:
- Accept the project if the NPV is positive
- Reject the project if NPV is negative
Note: if the NPV = 0, use other methods to make the decision.
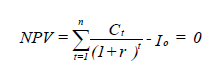
2. Internal Rate of Return (IRR)
The internal rate of return of a project is that rate of return at which the projects NPV = 0
Therefore IRR occurs where:

Where r = internal rate of return
Note that IRR is that ratio of return that causes the present value of cashflows to be equal to
the initial cash outflow.
Decision Rule under IRR
If IRR > opportunity cost of capital - accept the project
- IRR < opportunity cost of capital - reject the project
- IRR = opportunity cost of capital - be indifferent
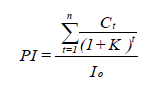
3. Profitability Index
This is a relative measure of projects profitability. It is given by the following formula.

Decision Rule
If PI > 1 - Accept the project
PI < 1 - Reject the project
PI = 1 - Be indifferent
NON-DISCOUNTED CASHFLOW METHODS
1. Accounting rate of return (ARR)

Where Average annual income = Average cashflows - Average Depreciation
Average investment = 1/2 (Cost of investment - Salvage value)
(assuming straight line depreciation method).
Projects with higher ARR are preferable.
2. Payback Period
This is defined as the time taken by the project to recoup the initial cash outlay.
The decision rule depends on the firms target payback period (i.e. the maximum period beyond
which the project should not be accepted.
Kavungya answered the question on
April 13, 2021 at 08:16