-
A hawker sells exercise books and pencils in an urban centre. Each exercise book sells at sh 20 and a pencil sells at sh 15....
(Solved)
A hawker sells exercise books and pencils in an urban centre. Each exercise book sells at sh 20 and a pencil sells at sh 15. During the month of October 2011, the hawker's total sales were sh 3,450. Customers bought 5 times as many books as pencils.
Required.
The number of exercise books and pencils sold by the hawker in the month of October 2011.
Date posted:
May 21, 2021
.
Answers (1)
-
Julius Mtile purchased a car at the beginning of the year 2012 at Sh. 200,000. He decided to use it in his business operations. All...
(Solved)
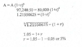
Julius Mtile purchased a car at the beginning of the year 2012 at Sh. 200,000. He decided to use it in his business operations. All motor vehicles for his business are depreciated at the rate of 20% using the reducing balance method.
Required.
Determine the number of years after which the value of the car will reduce to sh. 65,536.
Date posted:
May 21, 2021
.
Answers (1)
-
An agricultural irrigation scheme is being developed through 3 different possible systems; A, B & C. The useful life of the scheme is 20years with...
(Solved)
An agricultural irrigation scheme is being developed through 3 different possible systems; A, B & C. The useful life of the scheme is 20years with the following installation and annual running costs per system.

Date posted:
May 21, 2021
.
Answers (1)
-
A construction company purchased equipment at a total cost of Sh. 675,000. The equipment is expected to have a useful life of 10 years and...
(Solved)
A construction company purchased equipment at a total cost of Sh. 675,000. The equipment is expected to have a useful life of 10 years and a resale value of Sh. 187,988. The company's policy is to charge depreciation using the reducing balance method.
Required.
The annual depreciation rate of the equipment.
Date posted:
May 21, 2021
.
Answers (1)
-
A business man based in Kenya imported a consignment of 25,000 computer memory cards from his supplier based in London at a cost of 2.25...
(Solved)
A business man based in Kenya imported a consignment of 25,000 computer memory cards from his supplier based in London at a cost of 2.25 Sterling Pounds per card. Other expenses incurred on the consignment included 1,598,500 Ksh on freight charges, 1 percent insurance charge on the cost of the cards and 50 Ksh per memory card on customs duty.
1 Sterling pound = 136 Ksh.
Required.
The selling price per memory card in Ksh if the businessman intends to make a profit of 15% on total cost.
Date posted:
May 21, 2021
.
Answers (1)
-
Mary Munga borrowed a certain amount of money for 2 years. The rate of simple interest for the first year was 9.75%. During the second...
(Solved)
Mary Munga borrowed a certain amount of money for 2 years. The rate of simple interest for the first year was 9.75%. During the second year, the rate increase to 11%. At the end of the period, Mary realized that she earned sh 937.50 more in the second year than in the first year.
Required.
The amount of money Mary Munga had borrowed.
The rate of compound interest that would have earned Mary Munga the same total interest during the two years.
Date posted:
May 21, 2021
.
Answers (1)
-
A Kenyan Business man imported 50,000 electronic calculators from Japan at a cost of 2,500 Japanese yen per calculator. The total additional expenses incurred were...
(Solved)
A Kenyan Business man imported 50,000 electronic calculators from Japan at a cost of 2,500 Japanese yen per calculator. The total additional expenses incurred were Ksh 30,000 freight, Ksh 60,000 insurance on the consignment and Ksh 100 per calculator on customs duty. the exchange rate was 100 Japanese yen Ksh. 96.80
Required.
i) The total cost of the consignment in Kenya shillings.
ii) The selling price per calculator if the business man was to make a profit of 20% on the total cost.
Date posted:
May 21, 2021
.
Answers (1)
-
Jackson Charo bought a HP computer model on hire purchase for sh 27,400. A customer who pays cash is given 15% discount on the hire...
(Solved)
Jackson Charo bought a HP computer model on hire purchase for sh 27,400. A customer who pays cash is given 15% discount on the hire purchase price. He paid Sh 5,650 as down payment and paid the balance in 15 equal monthly installments.
Required.
i) The amount of money he paid for the computer per month.
ii) The amount of money that could have been saved if he had bought the computer on cash basis.
Date posted:
May 20, 2021
.
Answers (1)
-
An investor intends to undertake a project worth sh 3,000,000. The rate of return for the project is estimated at 10% per annum. Interest is...
(Solved)
An investor intends to undertake a project worth sh 3,000,000. The rate of return for the project is estimated at 10% per annum. Interest is compounded on quarterly basis.
Required.
The accumulated amount of money on the project after twenty years.
Date posted:
May 20, 2021
.
Answers (1)
-
Maryx Ltd. manufactures motor vehicle bearings. The cost accountant of the company has estimated the following costs for the second quarter of the year 2014.
(Solved)
Maryx Ltd. manufactures motor vehicle bearings. The cost accountant of the company has estimated the following costs for the second quarter of the year 2014.


Date posted:
May 20, 2021
.
Answers (1)
-
Differentiate between a 'mistake' and an 'error' as used in business statistics.
(Solved)
Differentiate between a 'mistake' and an 'error' as used in business statistics.
Date posted:
May 20, 2021
.
Answers (1)
-
An entrepreneur bought a washing machine on hire purchase. The cash price of the machine was Sh 800,000. An initial deposit of 20% of the...
(Solved)
An entrepreneur bought a washing machine on hire purchase. The cash price of the machine was Sh 800,000. An initial deposit of 20% of the cash price was paid. A flat interest rate of 15% was charged on the outstanding balance for the period of repayment. The balance plus the interest were payable in 36 equal monthly installments. A customer who purchases the machine on cash basis receives a 10% discount on the cash price.
Required.
The amount of money saved if the machine is bought on cash basis.
Date posted:
May 20, 2021
.
Answers (1)
-
An American tourist visited your country with an amount of money valued at 20,380 sterling pounds and 4,100 US Dollars. The currency of your country...
(Solved)
An American tourist visited your country with an amount of money valued at 20,380 sterling pounds and 4,100 US Dollars. The currency of your country is the shilling (Sh). He exchanged all the foreign money into shillings. The tourist stayed in your country for two months spending Sh 40,000 per day. He bought gifts worth Sh 300,000 and an air ticket for Sh 100,000. Upon leaving the country, he exchanged the remaining cash into dollars.
The rates of exchange during his visit were as follows:
1 US Dollar = Sh 90
1 Sterling pound = Sh 135
Assume each month has 30 days.
Required.
i) Total amount the tourist received in shillings.
ii) The amount of money the tourist received at the end of his visit in US Dollars.
Date posted:
May 20, 2021
.
Answers (1)
-
William Mwahunga deposited Sh. 1,000,000 as an investment in a fixed deposit account for a period of 10 years. The amount attracted annual compound interest...
(Solved)
William Mwahunga deposited Sh. 1,000,000 as an investment in a fixed deposit account for a period of 10 years. The amount attracted annual compound interest at the rate of 15% for the first four years, 12% for for the next four years and 9% for the remaining 2 years.
Required.
The value of the investment at the end of 10 years.
Date posted:
May 20, 2021
.
Answers (1)
-
Briefly explain the following types of matrices.
i) Vector matrix.
ii) Null matrix.
iii) Diagonal Matrix.
(Solved)
Briefly explain the following types of matrices.
i) Vector matrix.
ii) Null matrix.
iii) Diagonal Matrix.
Date posted:
May 19, 2021
.
Answers (1)
-
Wakulima cereals board operates warehouses in three different locations Nairobi, Nakuru and Eldoret. The cereals stocked by Wakulima cereals board comprise maize, rice, wheat and...
(Solved)
Wakulima cereals board operates warehouses in three different locations Nairobi, Nakuru and Eldoret. The cereals stocked by Wakulima cereals board comprise maize, rice, wheat and beans. The table below shows the inventories of the cereals in the three warehouse locations as at 31 December 2009.

Required.
Using matrix algebra, determine the total estimated value of all the cereals stocked by Wakulima Cereals Board in the three warehouse locations as at 31st December 2009.
Date posted:
May 19, 2021
.
Answers (1)
-
Jawabu limited manufactures three products namely A, B & C. The company has three outlets X, Y & Z. The data below show the number...
(Solved)
Jawabu limited manufactures three products namely A, B & C. The company has three outlets X, Y & Z. The data below show the number of units of products A, B & C sold in outlets X, Y and Z for the months of September 2010 and October 2010.

Date posted:
May 19, 2021
.
Answers (1)
-
A green grocer has a stock of fruits comprising 900 boxes of oranges, 700 boxes of grapes and 400 boxes of pears.
The table below...
(Solved)
A green grocer has a stock of fruits comprising 900 boxes of oranges, 700 boxes of grapes and 400 boxes of pears.
The table below shows the market prices per box of the different types of fruits in four towns namely: Nairobi, Nakuru, Kisumu, Mombasa.

Required.
Using matrix algebra, advice the green grocer on the town in which the stock of fruits should be sold in order to realize the maximum gross sales revenue.
Date posted:
May 19, 2021
.
Answers (1)
-
A florist sells flowers in dozens and each dozen consists of two varieties: namely white roses and red roses.White Roses costs Sh. 75 each whereas...
(Solved)
A florist sells flowers in dozens and each dozen consists of two varieties: namely white roses and red roses.White Roses costs Sh. 75 each whereas Red Roses costs Sh. 150 each The selling prices of white roses and red roses are Sh 105 each and Sh 175 each respectively.
Required.
Given that the daily total cost per dozen of the roses is Sh 1,200 and assuming that all roses bought in a day are sold, use matrix algebra to determine:
i) The number of white roses and red roses that should be packed in each dozen.
ii) The daily profit earned from each dozen of flowers.
Date posted:
May 19, 2021
.
Answers (1)
-
Citing an example in each case, differentiate between a 'Vector matrix' and an 'Identity matrix'.
(Solved)
Citing an example in each case, differentiate between a 'Vector matrix' and an 'Identity matrix'.
Date posted:
May 19, 2021
.
Answers (1)