-
A manufacturing company uses three machines in its production process namely; machine A, machine B and machine C.
(Solved)

Date posted:
May 29, 2021
.
Answers (1)
-
Define the following terms as used in probability theory.
i) Mutually exclusive events
ii) Complementary events
iii) Equally likely events
(Solved)
Define the following terms as used in probability theory.
i) Mutually exclusive events
ii) Complementary events
iii) Equally likely events
Date posted:
May 29, 2021
.
Answers (1)
-
The following data relate to the distribution of employees of XYZ company ltd. in terms of job grade.
(Solved)
The following data relate to the distribution of employees of XYZ company ltd. in terms of job grade.

Date posted:
May 29, 2021
.
Answers (1)
-
State 4 conditions that must be satisfied by a binomial experiment.
(Solved)
State 4 conditions that must be satisfied by a binomial experiment.
Date posted:
May 29, 2021
.
Answers (1)
-
Distinguish between a 'discrete random variable' and a 'continuous random variable'.
(Solved)
Distinguish between a 'discrete random variable' and a 'continuous random variable'.
Date posted:
May 29, 2021
.
Answers (1)
-
Highlight 4 advantages of probability sampling.
(Solved)
Highlight 4 advantages of probability sampling.
Date posted:
May 29, 2021
.
Answers (1)
-
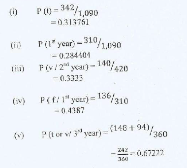
News Agency Limited deals in the distribution of three types of magazines namely; Newline, Informer and Update.
(Solved)


Date posted:
May 28, 2021
.
Answers (1)
-
Explain the following terms as used in set theory.
i) Universal set
ii) Null set
iii) Subset
iv) Disjoint sets
(Solved)
Explain the following terms as used in set theory.
i) Universal set
ii) Null set
iii) Subset
iv) Disjoint sets
Date posted:
May 28, 2021
.
Answers (1)
-
Clean wash Limited conducted a market survey to investigate customers' loyalty to the company's three brands of soap namely; Powerfoam, Ngarisha and Nguvu zaidi.
(Solved)
Clean wash Limited conducted a market survey to investigate customers' loyalty to the company's three brands of soap namely; Powerfoam, Ngarisha and Nguvu zaidi.

Date posted:
May 28, 2021
.
Answers (1)
-
Differentiate between overlapping sets and equal sets as they are used in set theory.
(Solved)
Differentiate between overlapping sets and equal sets as they are used in set theory.
Date posted:
May 28, 2021
.
Answers (1)
-
Explain the term 'complement of a set' as used in set theory.
(Solved)
Explain the term 'complement of a set' as used in set theory.
Date posted:
May 28, 2021
.
Answers (1)
-
A quick survey of 1,000 children in a refugee camp produced the following results.
(Solved)
A quick survey of 1,000 children in a refugee camp produced the following results.


Date posted:
May 28, 2021
.
Answers (1)
-
Differentiate between 'set union' and 'set intersection' as used in set theory.
(Solved)
Differentiate between 'set union' and 'set intersection' as used in set theory.
Date posted:
May 28, 2021
.
Answers (1)
-
Faulu College has a total number of 52 students undertaking three courses namely; Business Mathematics, Economics and Law.
(Solved)

Date posted:
May 28, 2021
.
Answers (1)
-
Roka College of Accountancy offers three main business courses namely: Finance, Accounting and Economics. A total of 180 students enrolled for the courses.
(Solved)
Roka College of Accountancy offers three main business courses namely: Finance, Accounting and Economics. A total of 180 students enrolled for the courses.

Date posted:
May 28, 2021
.
Answers (1)
-
Explain the term 'Venn diagram' as used in set theory.
(Solved)
Explain the term 'Venn diagram' as used in set theory.
Date posted:
May 28, 2021
.
Answers (1)
-
An investor holds a portfolio comprising 3,000,500 and 1,200 shares of stocks A, B and C respectively. The table below shows the closing price per...
(Solved)
An investor holds a portfolio comprising 3,000,500 and 1,200 shares of stocks A, B and C respectively. The table below shows the closing price per share for each of the stocks for a six month period.

Date posted:
May 28, 2021
.
Answers (1)
-
Define the following terms as used in index numbers.
- Base period.
- Retail price index.
- Quality Index.
(Solved)
Define the following terms as used in index numbers.
- Base period.
- Retail price index.
- Quality Index.
Date posted:
May 28, 2021
.
Answers (1)
-
The table below shows the price relatives of consumer goods in a certain economy and the proportion of total expenditure allocated to the goods for...
(Solved)
The table below shows the price relatives of consumer goods in a certain economy and the proportion of total expenditure allocated to the goods for the years 2008 and 2009.

Date posted:
May 28, 2021
.
Answers (1)
-
The table below shows the weights and index numbers of business activities in a certain economy.
(Solved)
The table below shows the weights and index numbers of business activities in a certain economy.

Date posted:
May 28, 2021
.
Answers (1)