Exam papers, notes, holiday assignments and topical questions – all aligned to the Kenyan curriculum.
Illustrate three measures of risk
Answer Attachments
Next: ABC Ltd. is trying to set up the selling prices of its product and the prices under consideration are Shs. 4.00,. Shs. 4.30 and Shs....
Previous: Outline SIX qualities of good inquiry questions
View more Management Accounting Questions and Answers | Return to Questions Index
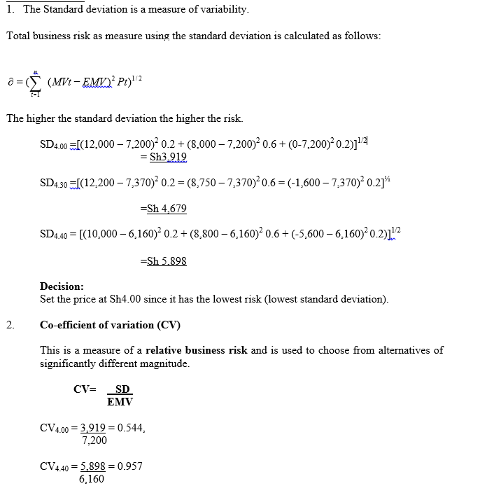
ABC Ltd. is trying to set up the selling prices of its product and the prices under consideration are Shs. 4.00,. Shs. 4.30 and Shs. 4.40.The demand is uncertain but this estimate has been made as follows; NB: state of nature cannot be changed, Conditions can be changed.Required:Advice the management on the best price to set.
Date posted: October 8, 2021 . Answers (1)
Explain four Environments where decisions can be made
State the steps of the decesion process
Role of the Management Accountant in the Management process
Difference Between Cost Accounting and Management Accounting
Date posted: October 7, 2021 . Answers (1)
Explain the two categories of accounting while stating the difference between the two
What is accounting?
Give the difference between Marginal costing and absorption costing and give illustration
Date posted: February 26, 2019 . Answers (1)