Trusted since 2008
Chat on WhatsApp

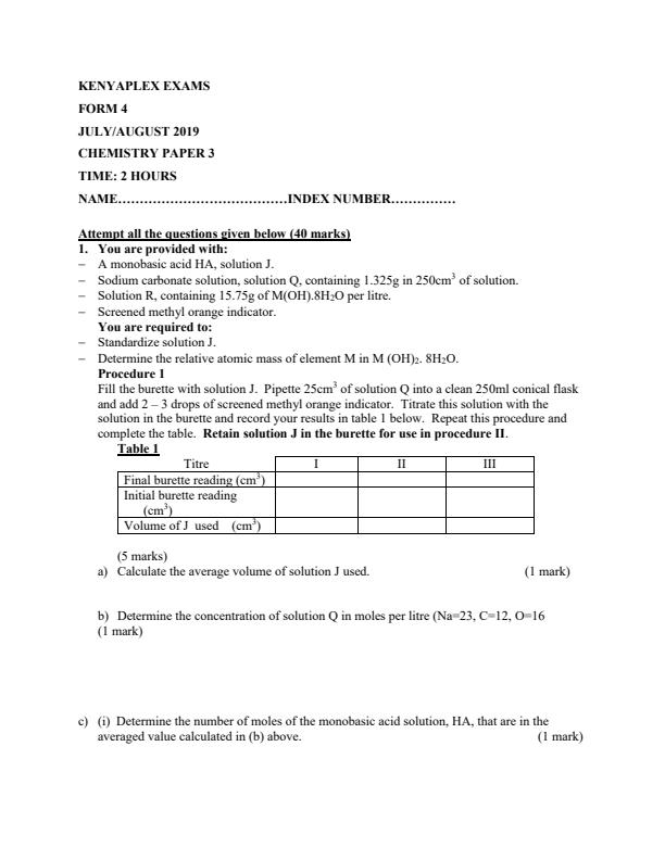
Form 4 Chemistry Paper 3 Term 2 Mock Exams 2019

KES 50
Secure M-PESA Paybill β€’ Instant digital delivery

1818 Views
54 Downloads

Exam Summary

Form 4 Chemistry Paper 2 Term 2 Mock Exams 2019
Contains both the question paper and Marking scheme in PDF and MS Word formats
You’re viewing a preview. Buy Now to unlock the full document and download instantly after M-PESA payment.
  • Preview page Form-4-Chemistry-Paper-3-Term-2-Mock-Exams-2019_192_0.jpg
........
This is the end of this exam preview. Buy to download the complete document.

More Examination Papers

View all exams β†’