Exam papers, notes, holiday assignments and topical questions – all aligned to the Kenyan curriculum.
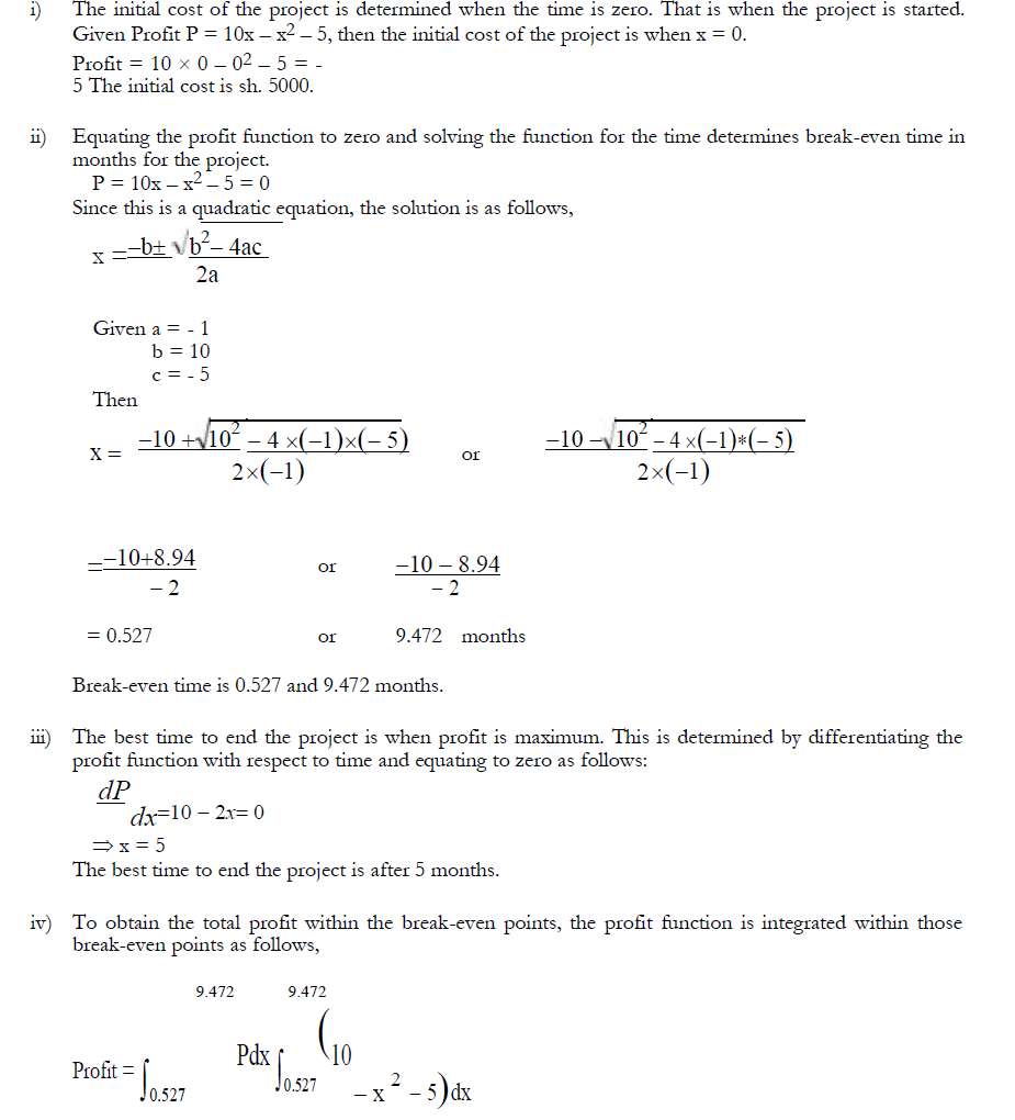
XYZ Company Limited invests in a particular project and it has been estimated that after X months ofrunning, the cumulative profit (Sh.„000‟) from the project is given by the function 10x-x2-5,where x represents time in months. The project can run for eleven months at most.Required:i) Determine the initial cost of the project.ii) Calculate the break-even time in months for the project.iii) Determine the best time to end the project.iv) Determine the total profit within the break-even points
Answer Attachments
Next: Gatheru and Kabiru Certified Public Accountants have recently started to give business advise to their clients. Acting as consultants, they have estimated the demand curve of...
Previous: The number of shoppers queuing at any given time in a certain supermarket in downtown Nairobi can be approximately represented by the equation:
View more CPA Quantitative Analysis Questions and Answers | Return to Questions Index
Gatheru and Kabiru Certified Public Accountants have recently started to give business advise to theirclients. Acting as consultants, they have estimated the demand curve of a clients firm to be;AR=200-8QWhere AR is average revenue in millions of shillings and Q is the output in units.Investigation of the client firm‟s cost profile shows that marginal cost (MC) is given by:MC=Q2-28Q+211(In million shillings)Further investigations have shown that the firm‟s cost when not producing output is sh.10 million.Required:i) The equation of total costii) The equation of total revenueiii) An expression for profit.iv) The level of output that maximizes profitv) The equation of marginal revenue.
Date posted: December 6, 2018 . Answers (1)
Two CPA students were discussing the relationship between average cost and total cost. One student saidthat since average cost is obtained by dividing the cost function by the number of units Q, it follows that the derivative of the average cost is the same as marginal cost, since the derivative of Q is 1.Required:Comment on this analysis.
Demand function for a firm is given byP=12 - 0.4QP is the price of the product, Q is the quantity demanded, and the total cost (C) is given byC = 5 + 4Q + 0.6Q2At what price and quantity will the firm have maximum profit? If the firm aims at maximizing sales, whatprice should it charge?
A company is selling an item for ps= Sh.5. Profit is related to selling price p byP=50000ps - 6250ps2i ) Is the profit an increasing function or a decreasing function when ps = 5?ii) If the price is changed to Sh.4.75, find whether profit would increase or decrease and find the change inprofit.iii) At what price is the profit maximized?