Exam papers, notes, holiday assignments and topical questions – all aligned to the Kenyan curriculum.
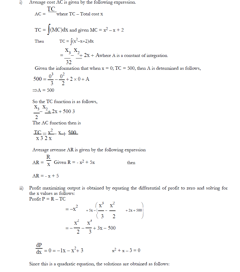
An electronics firm carries out a small-scale test launch of a new low-priced pocket calculator. It estimates from this test that if it went into full-scale production it would sell between 1,000 and 2,500 calculators per month, and that its monthly revenue in thousands of shillings over this range of sales could be represented by the equation:R = - x2 + 5xWhere: x is the monthly output in thousands of calculators (it is assumed that it sells its entire output).From experience of calculator production, the firm estimates its marginal cost in thousands of shillingscould be represented by the equation:MC = x2– x + 2and that its fixed costs will be Sh.500 per month.Required:i) Determine the average cost and revenue equations for this firm.ii) Determine the profit-maximizing output, the price that should be charged to maximize profit, and howmuch each calculator will then cost to make.
Answer Attachments
Next: The number of shoppers queuing at any given time in a certain supermarket in downtown Nairobi can be approximately represented by the equation:
Previous: Define the following terms as used in Markovian analysis: i) Transition matrix. ii) Initial Probability vector iii) Equilibrium iv) Absorbing state
View more CPA Quantitative Analysis Questions and Answers | Return to Questions Index
The number of shoppers queuing at any given time in a certain supermarket in downtown Nairobi can beapproximately represented by the equation:Required:i) The management wants to know when they should deploy more cashiers and the number queuing atthat time.ii) Determine the number of man-hours spent per day by shoppers queuing.
Date posted: December 6, 2018 . Answers (1)
XYZ Company Limited invests in a particular project and it has been estimated that after X months ofrunning, the cumulative profit (Sh.„000‟) from the project is given by the function 10x-x2-5,where x represents time in months. The project can run for eleven months at most.Required:i) Determine the initial cost of the project.ii) Calculate the break-even time in months for the project.iii) Determine the best time to end the project.iv) Determine the total profit within the break-even points
Gatheru and Kabiru Certified Public Accountants have recently started to give business advise to theirclients. Acting as consultants, they have estimated the demand curve of a clients firm to be;AR=200-8QWhere AR is average revenue in millions of shillings and Q is the output in units.Investigation of the client firm‟s cost profile shows that marginal cost (MC) is given by:MC=Q2-28Q+211(In million shillings)Further investigations have shown that the firm‟s cost when not producing output is sh.10 million.Required:i) The equation of total costii) The equation of total revenueiii) An expression for profit.iv) The level of output that maximizes profitv) The equation of marginal revenue.
Two CPA students were discussing the relationship between average cost and total cost. One student saidthat since average cost is obtained by dividing the cost function by the number of units Q, it follows that the derivative of the average cost is the same as marginal cost, since the derivative of Q is 1.Required:Comment on this analysis.
Demand function for a firm is given byP=12 - 0.4QP is the price of the product, Q is the quantity demanded, and the total cost (C) is given byC = 5 + 4Q + 0.6Q2At what price and quantity will the firm have maximum profit? If the firm aims at maximizing sales, whatprice should it charge?
A company is selling an item for ps= Sh.5. Profit is related to selling price p byP=50000ps - 6250ps2i ) Is the profit an increasing function or a decreasing function when ps = 5?ii) If the price is changed to Sh.4.75, find whether profit would increase or decrease and find the change inprofit.iii) At what price is the profit maximized?