Exam papers, notes, holiday assignments and topical questions – all aligned to the Kenyan curriculum.
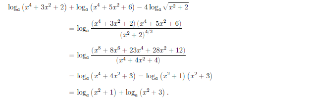
Show that
Answer Attachments
Next: Prove the identity cos4x - sin4x = cos(2x)
Previous: List the care measures for hacksaws
View more Basic Mathematics Questions and Answers | Return to Questions Index
Prove the identity cos4x - sin4x = cos(2x)
Date posted: March 6, 2019 . Answers (1)
(i) Compute the sums 1, 1 + 3, 1 + 3 + 5, 1 + 3 + 5 + 7. From this conjecture (suggest) theformula for the sum of the first n consecutive odd integers.
Give reason(s) for each step needed to show that the following argument is valid
(i) If P;Q are primitive statements, use truth table to prove thatii) Write the dual of the logical equivalence in part (i).
Determine the truth value of each of the following implications(i) If 3 + 4 = 12, then 3 + 2 = 6.(ii) If Mwai Kibaki was the third president of Kenya, then 2 + 3 =5.