Exam papers, notes, holiday assignments and topical questions – all aligned to the Kenyan curriculum.
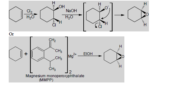
Starting with the compound on the left, outline the synthesis of the compound on theright. Show the structures of all reagents/intermediates in each synthesis
Answer Attachments
Next: Discuss the structure of personality
Previous: Materials a teacher would prepare for children with different learning disabilities in ecde
View more Organic Chemistry Questions and Answers | Return to Questions Index
Given the reagents 1-bromoethane, magnesium, diethylether and ethyl acetate, showthe steps in the synthesis of 3-methyl-3-pentanol
Date posted: March 18, 2019 . Answers (1)
Explain the contrast of water miscibility of alcohols with increase in the carbon chain.
Why do alcohols have much higher boiling points than hydrocarbons of comparable molecular weight?
In an experiment, 54.20 grams of phosphorus tribromide (PBr3) was reactedwith an excess of 2-methylpropanol (CH3CH(CH3)CH2OH). The reaction yielded 57.96 grams of 1-Bromo-2-methylpropane (CH3CH(CH3)CH2Br) and phosphoric acid (H3PO3), Write a blanced equation and calculate the percentage yield for the alkyl bromide. [H = 1, C = 12, P = 31, Br = 80]
Date posted: March 15, 2019 . Answers (1)