T = 0.45
F= 1/T = 1/0.4 = 2.5 Hz
Wilfykil answered the question on March 26, 2019 at 13:12
-
One range of frequencies used in broadcasting varies from 0.5 x 100 Hz to 2.0 x 107 Hz. What is the longest wavelength of this...
(Solved)
One range of frequencies used in broadcasting varies from 0.5 x 100 Hz to 2.0 x 107 Hz. What is the longest wavelength of this range? Velocity of light air =3x108/s
Date posted:
March 26, 2019
.
Answers (1)
-
Explain how you would make a diffraction grating on a piece of glass slide.
(Solved)
Explain how you would make a diffraction grating on a piece of glass slide.
Date posted:
March 26, 2019
.
Answers (1)
-
Using a pulley system, a girl lifts a load of 1800N using an effort of 400N. If the system is 65% efficient, determine the velocity...
(Solved)
Using a pulley system, a girl lifts a load of 1800N using an effort of 400N. If the system is 65% efficient, determine the velocity ratio of the system.
Date posted:
March 26, 2019
.
Answers (1)
-
The figure below shows how the potential Energy (P.E) of a ball thrown vertically upwards.
(Solved)
The figure below shows how the potential Energy (P.E) of a ball thrown vertically upwards.

On the same axes, plot a graph of kinetic energy of the ball.
Date posted:
March 26, 2019
.
Answers (1)
-
The figure below shows a force distance graph for a car being on a horizontal ground
(Solved)
The figure below shows a force distance graph for a car being on a horizontal ground

a) Calculate the total work done
b) If the velocity just before reaching point D is 6m/s, calculate the power developed by the agent providing the force at this point.
c) An electric pump can raise water from a lower-level reservoir to the high level reservoir to the high level reservoir at the rate of 3.0 x 105 kg per hour. The vertical height of the water is raised 360m. If the rate of energy loss in form of heat is 200 kW, determine the efficiency of the pump.
Date posted:
March 26, 2019
.
Answers (1)
-
Sketch a labeled diagram to show how an arrangement of a single pulley may be used to provide a mechanical advantage of 2.
(Solved)
Sketch a labeled diagram to show how an arrangement of a single pulley may be used to provide a mechanical advantage of 2.
Date posted:
March 26, 2019
.
Answers (1)
-
The figure below shows a loaded wheelbarrow. Indicate and label on the diagram three forces acting on the wheelbarrow when a worker is just about...
(Solved)
The figure below shows a loaded wheelbarrow. Indicate and label on the diagram three forces acting on the wheelbarrow when a worker is just about to lift the handle.

Date posted:
March 26, 2019
.
Answers (1)
-
A body has 16 Joules of kinetic energy. What would be its kinetic energy if its velocity was double?
(Solved)
A body has 16 Joules of kinetic energy. What would be its kinetic energy if its velocity was double?
Date posted:
March 26, 2019
.
Answers (1)
-
A workshop has the following simple machines for lifting heavy loads, a wheel and axle, and a movable pulley. The wheel has a diameter of...
(Solved)
A workshop has the following simple machines for lifting heavy loads, a wheel and axle, and a movable pulley. The wheel has a diameter of 30cm while the axle has diameter of 3.0cm.
i) Sketch force diagrams to show how each machine works.
ii) Assuming that the machines are perfect. Calculate the mechanical advantage for each of the machines and show which machine is more advantageous in lifting loads.
Date posted:
March 26, 2019
.
Answers (1)
-
A car of mass 800 kg is initially moving at 25 m/s. Calculate the force needed to bring the car to rest over a distance...
(Solved)
A car of mass 800 kg is initially moving at 25 m/s. Calculate the force needed to bring the car to rest over a distance of 20 m.
Date posted:
March 26, 2019
.
Answers (1)
-
A ball rolls on a table in a straight line. A part from the transitional kinetic energy, state the other form of kinetic energy possessed...
(Solved)
A ball rolls on a table in a straight line. A part from the transitional kinetic energy, state the other form of kinetic energy possessed by the ball.
Date posted:
March 26, 2019
.
Answers (1)
-
A screw advances 1mm when the screw is turned through two revolutions. What is the pitch of the screw?
(Solved)
A screw advances 1mm when the screw is turned through two revolutions. What is the pitch of the screw?
Date posted:
March 26, 2019
.
Answers (1)
-
Suggest two energy changes that accompany the changing of a liquid in a vapour phase.
(Solved)
Suggest two energy changes that accompany the changing of a liquid in a vapour phase.
Date posted:
March 26, 2019
.
Answers (1)
-
A pump uses 1g of a mixture of petrol and alcohol in the ratio 4:1 by mass to raise 1000 kg of water from a...
(Solved)
A pump uses 1g of a mixture of petrol and alcohol in the ratio 4:1 by mass to raise 1000 kg of water from a well 200m deep.
i) How much energy is given by 1g of mixture?
ii) If the pump is 40% efficient, what mass of this mixture is needed to raise the water? (1g of alcohol = 7000J, of petrol= 48000J)
Date posted:
March 26, 2019
.
Answers (1)
-
An energy saving stove when burning steadily has an efficiency of 69%. The stove melts 0.03 kg lf ice 00C in 180 seconds.
(Solved)
An energy saving stove when burning steadily has an efficiency of 69%. The stove melts 0.03 kg lf ice 00C in 180 seconds.
Calculate: -
i) The power rating of the stove.
ii) The heat energy wasted by the stove.
Date posted:
March 26, 2019
.
Answers (1)
-
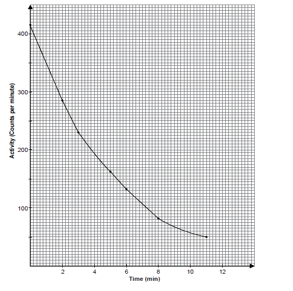
The graph below shows how the activity of a radiation nuclide varies with time.
(Solved)
The graph below shows how the activity of a radiation nuclide varies with time.

i) From the graph of activity against time above determine the half life of the nuclide.
ii) Using the half life obtained in e(i) how long would it take for the count rate of fall from 320 counts per minute to 80 counts per minute.
Date posted:
March 26, 2019
.
Answers (1)
-
Figure shows the three nuclear radiations labelled A, B and C under the influence of magnetic into the paper.
(Solved)
Figure shows the three nuclear radiations labelled A, B and C under the influence of magnetic into the paper.

i) State one property of the radiation labelled A
ii) State one use of the radiation B
Date posted:
March 26, 2019
.
Answers (1)
-
The figure shows positions of a ball bouncing on a floor. State the energy changes at C.
(Solved)
The figure shows positions of a ball bouncing on a floor. State the energy changes at C.

Date posted:
March 26, 2019
.
Answers (1)
-
The following equation shows part of a radioactive decay process.
(Solved)
The following equation shows part of a radioactive decay process.

i) Name the radiation X.
ii) Find the values of m and n.
Date posted:
March 26, 2019
.
Answers (1)
-
Figure below shows an electric circuit.
(Solved)
Figure below shows an electric circuit.

Explain what happens when only S2 is closed.
Date posted:
March 26, 2019
.
Answers (1)