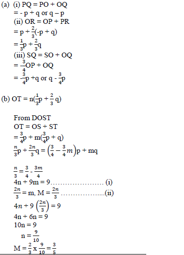
-
Veterinary researchers were experimenting with a new drug on fowls in a research station. A sample of fowls which were known to have the disease...
(Solved)
Veterinary researchers were experimenting with a new drug on fowls in a research station. A sample of fowls which were known to have the disease was used. In this sample 30 fowls were treated with the drug and the remaining 18 fowls were not treated.
(a) Calculate the probability that a fowl selected at random from the sample is
(i) treated with the drug
(ii) not treated with the drug
(b) The probability that a fowl treated with the drug will die is 1/10
, while the probability that one which is not
treated will die is 7/10
Calculate the probability that a fowl picked at random from the sample is
(i) treated with the drug and will die
(ii) not treated with the drug and will die
(iii) treated with the drug and will not die
(iv) not treated with the drug and will not die
Date posted:
April 24, 2019
.
Answers (1)
-
Two towns on the earth’s surface are located at P (070N,300E) and Q (130S,300E). A pilot plans to fly from P to Q the shortest...
(Solved)
Two towns on the earth’s surface are located at P (070N,300E) and Q (130S,300E). A pilot plans to fly from P to Q the shortest route between the two towns.
(a) Calculate the shortest distance between P and Q in km.
(b) Find the distance in nautical miles (nm)
(c) The speed of the aircraft is 360 knots. Determine how long it takes to fly from P to Q.
Date posted:
April 24, 2019
.
Answers (1)
-
The figure below shows the position of a boat Q which is observed sailing directly towards the pier P at the base of a
vertical cliff...
(Solved)
The figure below shows the position of a boat Q which is observed sailing directly towards the pier P at the base of a
vertical cliff PT. The angle of elevation of the top of the cliff from Q is 25.40. After 14 seconds the boat is at point R, and the angle for elevation of T is now 64.70.

If the cliff is 50m high, calculate
(a) The distance PQ
(b) The distance QR
(c) The speed of the boat in km/h
Date posted:
April 24, 2019
.
Answers (1)
-
Under a transformation represented by a matrix m a point p (x, y) is mapped onto PI, (xI,yI) where
(Solved)
Under a transformation represented by a matrix m a point p (x, y) is mapped onto PI, (xI,yI) where

(a) Write down the matrix for m. (2 Marks)
(b) Find the inverse of m.
(c) The points AI (16,-2) BI (-8, 1), CI (8,-1) and DI (9,-8) are the images of A, B, C and D respectively under M.
Determine the coordinates of A, B, C and D.
Date posted:
April 24, 2019
.
Answers (1)
-
Kennedy bought three cows and twenty-five goats spending a total of Sh. 75000. If he had bought two cows and thirty three goats, he would...
(Solved)
Kennedy bought three cows and twenty-five goats spending a total of Sh. 75000. If he had bought two cows and thirty three goats, he would have saved Sh. 5400. Kennedy later sold all his animals at a profit of 40% per cow and 50% per goat.
Determine;
(a) the cost at which he bought each animal.
(b) the total amount of money Kennedy received after selling all the animals.
Date posted:
April 24, 2019
.
Answers (1)
-
A particle starts from 0 and moves in a straight line so that its velocity V ms-1 after t seconds is given by
v =...
(Solved)
A particle starts from 0 and moves in a straight line so that its velocity V ms-1 after t seconds is given by
v = 3t – t2. The distance of the particle from 0 at time t seconds is s metres.
(a) Express s in terms of t and c where c is a constant.
(b) Calculate the time taken before the particle returns to 0.
Date posted:
April 24, 2019
.
Answers (1)
-
The gradient function of a curve is given by
(Solved)
The gradient function of a curve is given by 
Determine;
(a) the equation of the curve given the curve passes through point (0,3)
(b) the coordinates of the turning point of the curve.
Date posted:
April 24, 2019
.
Answers (1)
-
Given the column vectors.
(Solved)
Given the column vectors.

express p as a column vector and hence calculate its magnitude to 3 significant figures.
Date posted:
April 24, 2019
.
Answers (1)
-
Make x the subject of the equation.
(Solved)
Make x the subject of the equation.

Date posted:
April 24, 2019
.
Answers (1)
-
Wambua invested Sh. 6400 at 15% per annum compound interest for 3 years. Muinde invested twice that amount at 12.5% per annum simple interest for...
(Solved)
Wambua invested Sh. 6400 at 15% per annum compound interest for 3 years. Muinde invested twice that amount at 12.5% per annum simple interest for the same period of time. Find whose investment earned more interest and by how much.
Date posted:
April 24, 2019
.
Answers (1)
-
Solve the simultaneous equation.
(Solved)
Solve the simultaneous equation.

Date posted:
April 24, 2019
.
Answers (1)
-
The figure below shows a circle centre O and AOC is a straight line. PB is a tangent to the circle at and angle PBC...
(Solved)
The figure below shows a circle centre O and AOC is a straight line. PB is a tangent to the circle at and angle PBC = 350.

Giving reasons for each answer, find the size of
(a) Angle BDC
(b) Angle ACB
Date posted:
April 24, 2019
.
Answers (1)
-
Solve for x in the equation log (x – 1) = log 12 – log (x – 2)
(Solved)
Solve for x in the equation log (x – 1) = log 12 – log (x – 2)
Date posted:
April 24, 2019
.
Answers (1)
-
(a) Expand and simplify the binomial expression.
(Solved)
(a) Expand and simplify the binomial expression.

(b) Use the first four terms of the simplified expression in (a) above to evaluate to 5 significant figures.
(1.98)5.
Date posted:
April 24, 2019
.
Answers (1)
-
Under a transformation whose matrix
(Solved)
Under a transformation whose matrix

a figure whose area is 2.5cm2 is mapped onto a figure whose area is 10cm2. Find two possible values of a and hence write down two possible matrices for T.
Date posted:
April 24, 2019
.
Answers (1)
-
The table below shows the masses of 40 students in a form 4 class.
(Solved)
The table below shows the masses of 40 students in a form 4 class.

(a) State the modal class.
(b) Calculate the median mass
Date posted:
April 24, 2019
.
Answers (1)
-
The equation of a circle is x2 – 8x + y2 + 12y + 16 = 0.Determine the coordinates of the centre of the circle...
(Solved)
The equation of a circle is x2 – 8x + y2 + 12y + 16 = 0.Determine the coordinates of the centre of the circle and its radius.
Date posted:
April 24, 2019
.
Answers (1)
-
The number of bacteria in a colony was originally 3 millions. This number doubled itself after every one hour.Calculate the number of bacteria generated in...
(Solved)
The number of bacteria in a colony was originally 3 millions. This number doubled itself after every one hour.Calculate the number of bacteria generated in the colony during the 7thhour.
Date posted:
April 24, 2019
.
Answers (1)
-
The length and breadth of a metal sheet are measured to the nearest centimetre and recorded as 25cm and 16cm
respectively.
(Solved)
The length and breadth of a metal sheet are measured to the nearest centimetre and recorded as 25cm and 16cm
respectively.
(a) Find the maximum possible error in the area of the sheet.
(b) Calculate to one decimal place the percentage error in the area of the sheet.
Date posted:
April 24, 2019
.
Answers (1)
-
Triangle PQR has vertices at P (2,3), Q(1,2) and R(4,1), while triangle PIQIRI has vertices PI(-2,3),QI(-1,2), RI(-4,1)
(Solved)
Triangle PQR has vertices at P (2,3), Q(1,2) and R(4,1), while triangle PIQIRI has vertices PI(-2,3),QI(-1,2), RI(-4,1)
(a) (i) Draw triangle PQR and PIQIRI on the grid provided.
(ii) Describe fully a single transformation which maps triangle PQR onto triangle PIQIRI.
(b) (i) On the same grid, draw triangle PIIQIIRII the image of PQR under a reflection on the line y + x = 0.
(ii) Describe fully a single transformation which maps triangle PIIQIIRII onto triangle PIQIRI.
Date posted:
April 24, 2019
.
Answers (1)