-
Using logarithms, evaluate
(Solved)
Using logarithms, evaluate

Date posted:
April 26, 2019
.
Answers (1)
-
QRST is a rhombus. The equations of QR, RS and TS are 2x + y = 7, x = 1 and 2x + y =...
(Solved)
QRST is a rhombus. The equations of QR, RS and TS are 2x + y = 7, x = 1 and 2x + y = -1 respectively. Determine:-
(a) The co-ordinates of Q and S.
(b) The co-ordinates of m, the point of intersection of the diagonals.
(c) The co-ordinates of R and T.
Date posted:
April 26, 2019
.
Answers (1)
-
a) Solve the equation:
(Solved)
(a) Solve the equation:

(b) A rectangular room is 4m longer than its width. If its area is 12m2, find its dimensions and hence the perimeter of the
room.
Date posted:
April 26, 2019
.
Answers (1)
-
(a) A bus travelling at 99km/hr passes a check-point at 10.00a.m. and a matatu travelling at 132km/h in the same
direction passes through the check point...
(Solved)
(a) A bus travelling at 99km/hr passes a check-point at 10.00a.m. and a matatu travelling at 132km/h in the same
direction passes through the check point at 10.15a.m. If the bus and the matatu continue at their uniform speeds, find
the time the matatu will overtake the bus.
(b) Two passenger trains A and B which are 240m apart and travelling in opposite directions at 164km/h and 88km/h
respectively approach one another on a straight railway line. Train A is 150 metres long and train B is 100 metres
long. Determine time in seconds that elapses before the two trains completely pass each other.
Date posted:
April 26, 2019
.
Answers (1)
-
A pail is in the shape of a container frustrum with base radius 6cm and top radius 8cm. The slant height of the pail is
30cm...
(Solved)
A pail is in the shape of a container frustrum with base radius 6cm and top radius 8cm. The slant height of the pail is
30cm as shown below. The pail is full of water.

(a) Calculate the volume of water.
(b) All the water is poured into a cylindrical container of circular radius 7cm, if the cylinder has the height of 35cm;
calculate the surface area of the cylinder which is not in contact with water.
Date posted:
April 26, 2019
.
Answers (1)
-
Every Sunday Barmao drives a distance of 80km on a bearing of 0740 to pick up her sister Afandi to go to church. The
church is...
(Solved)
Every Sunday Barmao drives a distance of 80km on a bearing of 0740 to pick up her sister Afandi to go to church. The
church is 75km from Afandi’s home on bearing of S500E. After church they drive a distance of 100km on a bearing of
2600 to check on their friend Akoth before Barmao drives to Afandi’s home to drop her off then proceed to her house.
(a) Using a scale of 1cm to represent 10km, show the relative positions of these places.
(b) Use your diagram to determine:
(i) The true bearing of Barmao’s home from Akoth’s house.
(ii) The compass bearing of the Akoth’s home from Afandi’s home.
(c) (i) The distance between Afandi’s home and Akoth’s home.
(ii) The total distance Barmao travel every Sunday.
Date posted:
April 26, 2019
.
Answers (1)
-
The figure below shows two circles of radii 10.5cm and 8.4cm and with centres A and B respectively. The common chord PQ is 9cm.
(Solved)
The figure below shows two circles of radii 10.5cm and 8.4cm and with centres A and B respectively. The common chord PQ is 9cm.

(a) Calculate angle PAQ.
(b) Calculate angle PBQ.
(c) Calculate the area of the shaded part.
Date posted:
April 26, 2019
.
Answers (1)
-
Leonorah Jerop was on top of a cliff 30m high sees two boats P and Q out at sea. Both boats were in the same...
(Solved)
Leonorah Jerop was on top of a cliff 30m high sees two boats P and Q out at sea. Both boats were in the same line and
the angle of depression from Leonorah to P was 420 and the angle of depression from Leonorah to Q was 270. Calculate
the distance then between the two boats.
Date posted:
April 26, 2019
.
Answers (1)
-
Express 1.441441........... in the form p/q where p and q are integers. (q # o)
(Solved)
Express 1.441441........... in the form p/q where p and q are integers. (q # o)
Date posted:
April 26, 2019
.
Answers (1)
-
A map of a certain town is drawn to a scale of 1:50,000 on the map, the railway quarters cover an area of 10cm2. Find
the...
(Solved)
A map of a certain town is drawn to a scale of 1:50,000 on the map, the railway quarters cover an area of 10cm2. Find
the area of the railway quarters in hectares.
Date posted:
April 26, 2019
.
Answers (1)
-
1.5 litres of water (density 1g/cm3) is added to 5 litres of alcohol (density 0.8g/cm3). Calculate the density of the
mixture.
(Solved)
1.5 litres of water (density 1g/cm3) is added to 5 litres of alcohol (density 0.8g/cm3). Calculate the density of the
mixture.
Date posted:
April 26, 2019
.
Answers (1)
-
Line L1 passes through the points A (1, -2) and B(3, -4). Find the equation of the line L2 passing through the mid-point
of AB and...
(Solved)
Line L1 passes through the points A (1, -2) and B(3, -4). Find the equation of the line L2 passing through the mid-point
of AB and perpendicular to L1, leaving your answer in the form ax + by + c = 0.
Date posted:
April 26, 2019
.
Answers (1)
-
State all the integral values of a which satisfy the inequality
(Solved)
State all the integral values of a which satisfy the inequality

Date posted:
April 26, 2019
.
Answers (1)
-
The curved surface area of a cylindrical container is 880cm2. Calculate to one decimal place the capacity of the container in litres given that the...
(Solved)
The curved surface area of a cylindrical container is 880cm2. Calculate to one decimal place the capacity of the container in litres given that the height is 17.5cm. (Take π = 22/7).
Date posted:
April 26, 2019
.
Answers (1)
-
Solve the simultaneous equations:
(Solved)
Solve the simultaneous equations:

Date posted:
April 26, 2019
.
Answers (1)
-
Find the angle the line 3y = 2x + 6 makes with the x-axis.
(Solved)
Find the angle the line 3y = 2x + 6 makes with the x-axis.
Date posted:
April 26, 2019
.
Answers (1)
-
Simplify:
(Solved)
Simplify:

Date posted:
April 26, 2019
.
Answers (1)
-
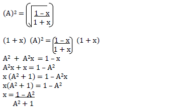
Solve for x in the equation:
(Solved)
Solve for x in the equation:

Date posted:
April 26, 2019
.
Answers (1)
-
A man was born in 1956. His father was born in 1928 and the mother three years later. If the man’s daughter was
born in 1992...
(Solved)
A man was born in 1956. His father was born in 1928 and the mother three years later. If the man’s daughter was
born in 1992 and the son 5 years earlier, find the difference between the age of the man’s mother and that of his son.
Date posted:
April 26, 2019
.
Answers (1)
-
Evaluate the expression given below
(Solved)
Evaluate the expression given below

Date posted:
April 26, 2019
.
Answers (1)