-
The following were recorded on a field note book by a surveyor. Taking the base line as 550M find the area in M².
(Solved)
The following were recorded on a field note book by a surveyor. Taking the base line as 550M find the area in M².

Date posted:
April 29, 2019
.
Answers (1)
-
The 16th term of an A.P. is seven times the 8th term. The sum of the first ten terms is -35. Find the first term...
(Solved)
The 16th term of an A.P. is seven times the 8th term. The sum of the first ten terms is -35. Find the first term and the common difference.
Date posted:
April 29, 2019
.
Answers (1)
-
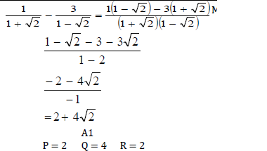
Make X the subject of the formula:
(Solved)
Make X the subject of the formula:

Date posted:
April 29, 2019
.
Answers (1)
-
Pipe A can fill an empty water tank in 3hrs while Pipe B can fill the same tank in 6hrs. When the tank is full...
(Solved)
Pipe A can fill an empty water tank in 3hrs while Pipe B can fill the same tank in 6hrs. When the tank is full it can be
emptied by Pipe C in 8hrs. Pipe A and B are opened at the same time when the tank is empty. If one hour later Pipe C
is also opened, find the total time taken to fill the tank.
Date posted:
April 29, 2019
.
Answers (1)
-
A curve passes through the point (3, -3), if its gradient function is 5X² + 1, find its equation.
(Solved)
A curve passes through the point (3, -3), if its gradient function is 5X² + 1, find its equation.
Date posted:
April 29, 2019
.
Answers (1)
-
Two variables are such that A is partly constant and partly varies as the square root of B. Given that A = 27 when B=1/4...
(Solved)
Two variables are such that A is partly constant and partly varies as the square root of B. Given that A = 27 when B=1/4 and A = 18; when B = 25, find A when B =12.25.
Date posted:
April 29, 2019
.
Answers (1)
-
Expand the binomial expression up to the term in X4. Hence evaluate (0.95)5 giving your answer correct to 4s.f.
(Solved)
Expand the binomial expression up to the term in X4. Hence evaluate (0.95)5 giving your answer correct to 4s.f.

Date posted:
April 29, 2019
.
Answers (1)
-
The diameter AB of a circle passes through points A (-4, 1) and B(2, 1). Find the equation of the circle and leave your answer...
(Solved)
The diameter AB of a circle passes through points A (-4, 1) and B(2, 1). Find the equation of the circle and leave your answer in the form x² + y² + ax + by = c where a, b and c are constants.
Date posted:
April 29, 2019
.
Answers (1)
-
Given that x is an acute angle and;
(Solved)
Given that x is an acute angle and;

find without Mathematical tables or calculator tan (90 - x).
Date posted:
April 29, 2019
.
Answers (1)
-
If 4x² + 32x - 20 + K is a perfect square find value of K.
(Solved)
If 4x² + 32x - 20 + K is a perfect square find value of K.
Date posted:
April 29, 2019
.
Answers (1)
-
John deposits Shs.24000 in a fixed account. After 4 years the money accumulated to Kshs.45,000. If the bank paid
compound interest of r% p.a compounded semi...
(Solved)
John deposits Shs.24000 in a fixed account. After 4 years the money accumulated to Kshs.45,000. If the bank paid
compound interest of r% p.a compounded semi annually find r.
Date posted:
April 29, 2019
.
Answers (1)
-
Solve for X in the equation below.
(Solved)
Solve for X in the equation below.

Date posted:
April 29, 2019
.
Answers (1)
-
A shopkeeper mixes rice worth Kshs.47 and Kshs.55 per kg, how many kilograms of each should be used to obtain 24kg of the mixture worth...
(Solved)
A shopkeeper mixes rice worth Kshs.47 and Kshs.55 per kg, how many kilograms of each should be used to obtain 24kg of the mixture worth Kshs.52 per kg.
Date posted:
April 29, 2019
.
Answers (1)
-
Kamoni bought four pens and three books for a total of Shs.17 while Jane bought five similar pens and two books for
Shs.16. Find the cost...
(Solved)
Kamoni bought four pens and three books for a total of Shs.17 while Jane bought five similar pens and two books for
Shs.16. Find the cost of a pen and an exercise.
Date posted:
April 29, 2019
.
Answers (1)
-
A train moving at an average speed of 72km/hr takes 15 seconds to complete cross a bridge that is 80m long.
(i) Express 72km/hr in metres...
(Solved)
A train moving at an average speed of 72km/hr takes 15 seconds to complete cross a bridge that is 80m long.
(i) Express 72km/hr in metres per second.
(ii) Find the length of the train.
Date posted:
April 29, 2019
.
Answers (1)
-
The table below shows marks obtained by 100 candidates at Eastside High School in a Biology examination.
(Solved)
The table below shows marks obtained by 100 candidates at Eastside High School in a Biology examination.

(a) Determine the value of x.
(b) State the modal frequency.
(c) Calculate the median mark.
(d) Calculate the mean mark.
Date posted:
April 29, 2019
.
Answers (1)
-
A sector of a circle of radius 40cm subtends an angle of 26º at the centre of the circle.(Take pi =22/7).
(Solved)
A sector of a circle of radius 40cm subtends an angle of 26º at the centre of the circle.(Take pi =22/7).
(a) Calculate
(i) the area of the sector.
(ii) the length of the arc.
(b) The sector is folded to form an inverted right cone. Calculate
(i) the base radius of the cone.
(ii) To one decimal place, the vertical height of the cone.
(c) Calculate the capacity of the cone in litres.
Date posted:
April 29, 2019
.
Answers (1)
-
a) Complete the table given below for the equation y = -2X² + 3X + 3 for the range of X from -2 to 3.5...
(Solved)
a) Complete the table given below for the equation y = -2X² + 3X + 3 for the range of X from -2 to 3.5 by filling in the blank spaces.

b) Use the values from the table above to draw the graph of y = -2x² + 3x + 3.
(c) Use your graph to:
(i) Determine the integral values of x in the graphs range which satisfy the inequality 2x² - 3x - 3 ≥3.
(ii) Solve -2x² + 2x + 5 = 0.
Date posted:
April 29, 2019
.
Answers (1)
-
From town P, a town Q is 60km away on a bearing South 80º East. A third town R is 100km from P on the...
(Solved)
From town P, a town Q is 60km away on a bearing South 80º East. A third town R is 100km from P on the bearing South 40º West.
A cyclist travelling at 20km/h leaves P for Q. He stays at Q for one hour and then continues to R. He stays at R for 1½ hrs and thenreturns directly to P.
(a) Calculate the distance of Q from R.
(b) Calculate the bearing of R from Q.
(c) What is the time taken for the whole round trip?
Date posted:
April 29, 2019
.
Answers (1)
-
In the figure below OQ = q and OR = r. Point X divides OQ in the ratio 1:2 and Y divides OR in the...
(Solved)
In the figure below OQ = q and OR = r. Point X divides OQ in the ratio 1:2 and Y divides OR in the ratio 3:4. Lines XR and YQ
intersect at E.

(c) Using the results in (b) above, find the values of m and n.
Date posted:
April 29, 2019
.
Answers (1)