-
Find the equation of a straight line which is equidistant from the points A (2, 3) and B (6, 1). Express your answer in
the form...
(Solved)
Find the equation of a straight line which is equidistant from the points A (2, 3) and B (6, 1). Express your answer in
the form x/a + y/b =1 where a and b are constant.
Date posted:
April 29, 2019
.
Answers (1)
-
Given that AB and CD are parallel, find the value of K and hence evaluate |CD|
(Solved)
Given that AB and CD are parallel, find the value of K and hence evaluate |CD|

Date posted:
April 29, 2019
.
Answers (1)
-
Determine the equation of the normal to the curve y = 3x2 – 4x + 1 at the point (2, 5).
(Solved)
Determine the equation of the normal to the curve y = 3x2 – 4x + 1 at the point (2, 5).
Date posted:
April 29, 2019
.
Answers (1)
-
Solve the equation shown below:
(Solved)
Solve the equation:

Date posted:
April 29, 2019
.
Answers (1)
-
Solve for y in the equation 8(2y – 1) x 32y = 16(y + 1).
(Solved)
Solve for y in the equation
8(2y – 1) x 32y = 16(y + 1).
Date posted:
April 29, 2019
.
Answers (1)
-
A tourist arrived in Kenya with US Dollars 3000 which he exchanged into Kenya shillings. He spent Ksh. 75000 on hotel accommodation and Ksh.42500 on...
(Solved)
A tourist arrived in Kenya with US Dollars 3000 which he exchanged into Kenya shillings. He spent Ksh. 75000 on hotel accommodation and Ksh.42500 on travel and other expenses. He changed the remaining money into sterling pounds. Calculate how much money in sterling pounds that he remained with using the following rates. (Leave your answer to the nearest 1£)

Date posted:
April 29, 2019
.
Answers (1)
-
Using tables evaluate.
(Solved)
Using tables evaluate.

Date posted:
April 29, 2019
.
Answers (1)
-
Evaluate without using tables or calculator.
(Solved)
Evaluate without using tables or calculator.

Date posted:
April 29, 2019
.
Answers (1)
-
Points S(-2,2) and T(-3,7) are mapped onto S1(4,-10) and T1(0,10) by an enlargement . Calculate the enlargement scale factor.
(Solved)
Points S(-2,2) and T(-3,7) are mapped onto S1(4,-10) and T1(0,10) by an enlargement . Calculate the enlargement scale factor.
Date posted:
April 29, 2019
.
Answers (1)
-
The figure below represent a right pyramid with vertex V and a rectangular base PQRS.VP = VQ = VR = VS = 18cm and QR...
(Solved)
The figure below represent a right pyramid with vertex V and a rectangular base PQRS.VP = VQ = VR = VS = 18cm and QR = 12cm, M and O are midpoints of QR and PR respectively.

Find:
(a) the length of the projection of VP on the plane PQRS.
(b) size of angle between VP and plane PQRS.
(c) size of angle between plane VQR and PQRS.
Date posted:
April 29, 2019
.
Answers (1)
-
(a) Without using a set square or a protractor, construct triangle ABC such that AB = AC = 5.4cm and angle ABC = 30º.
(Solved)
(a) Without using a set square or a protractor, construct triangle ABC such that AB = AC = 5.4cm and angle ABC = 30º.
(b) Measure BC.
(c) A point P is always on the same side of BC as A. Draw the locus of P such that angle BAC is always twice angle BPC.
(d) Calculate the area of triangle ABC.
(e) Draw a perpendicular from A to meet BC at D. Measure AD.
Date posted:
April 29, 2019
.
Answers (1)
-
In the figure below A and B are centres of the circle intersecting at point P and Q, angle PBQ = 97.2º while PAQ =...
(Solved)
In the figure below A and B are centres of the circle intersecting at point P and Q, angle PBQ = 97.2º while PAQ = 52º,
PB = 4cm while AP = 10cm.

Determine:-
(a) the length AB.
(b) the area of sector APQ.
(c) the area of the quadrilateral, APBQ.
(d) area of the shaded region.
Date posted:
April 29, 2019
.
Answers (1)
-
The position of two towns are A (30ºS, 20ºW) and B (30ºS, 80ºE) find.
(Solved)
The position of two towns are A (30ºS, 20ºW) and B (30ºS, 80ºE) find.
(a) the difference in longitude between the two towns. (1 mark)
(b) (i) the distance between A and B along parallel of latitude in km (take radius of the earth as 6370km and pi=22/7)
(ii)in nm.
(c) Find local time in town B when it is 1.45pm in town A.
Date posted:
April 29, 2019
.
Answers (1)
-
In the diagram below angle EDG = 36º,angle ABG = 42º line EDC and ABC are tangents to the circle at D and B respectively.
(Solved)
In the diagram below angle EDG = 36º,angle ABG = 42º line EDC and ABC are tangents to the circle at D and B respectively.

Calculate by giving reason.
(a) Angle DGB.
(b) Obtuse Angle DOB.
(c) Angle GDB.
(d) Angle DCB.
(e) Angle DFB.
Date posted:
April 29, 2019
.
Answers (1)
-
(a) Complete the table below for the function y = Sin 2x and y = 3 Cos x for -180º = x = 180º.
(Solved)
(a) Complete the table below for the function y = Sin 2x and y = 3 Cos x for -180º ≤ x ≤ 180º.

(b) On the same axes, draw the graph of y = Sin 2x and y = 3 Cos x -180º ≤ x ≤ 180º.
(c) Use the graph in (b) above to find:
(i) the value of x such that 3 Cos x - Sin 2x = 0.
(ii) the difference in value of y when x = 45º.
(iii) Range of values of x such that 3 Cos x > 1.5.
Date posted:
April 29, 2019
.
Answers (1)
-
The table below shows the rates at which income tax is charged on annual income.
(Solved)
The table below shows the rates at which income tax is charged on annual income.

A company employee earns a gross monthly salary of Ksh.18600. He is housed by the company and as a result, his
taxable income is increased by 15%. If the employee is married and claims a monthly family relief of Shs.250,
calculate
(a) his taxable income.
(b) his net salary per month.
Date posted:
April 29, 2019
.
Answers (1)
-
Given the equation beolow,find the values of P, Q and R.
(Solved)
Given the equation beolow,find the values of P, Q and R.

Date posted:
April 29, 2019
.
Answers (1)
-
The following were recorded on a field note book by a surveyor. Taking the base line as 550M find the area in M².
(Solved)
The following were recorded on a field note book by a surveyor. Taking the base line as 550M find the area in M².

Date posted:
April 29, 2019
.
Answers (1)
-
The 16th term of an A.P. is seven times the 8th term. The sum of the first ten terms is -35. Find the first term...
(Solved)
The 16th term of an A.P. is seven times the 8th term. The sum of the first ten terms is -35. Find the first term and the common difference.
Date posted:
April 29, 2019
.
Answers (1)
-
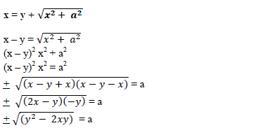
Make X the subject of the formula:
(Solved)
Make X the subject of the formula:

Date posted:
April 29, 2019
.
Answers (1)