-
Simplify the following quadratic expression.
(Solved)
Simplify the following quadratic expression.

Date posted:
May 2, 2019
.
Answers (1)
-
The figure below shows a right pyramid with square base of side 3cm and a slant edge of 5cm. Draw its net.
(Solved)
The figure below shows a right pyramid with square base of side 3cm and a slant edge of 5cm. Draw its net.

Date posted:
May 2, 2019
.
Answers (1)
-
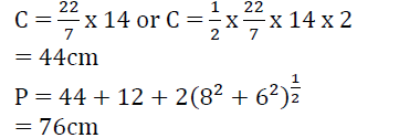
The diagonal of a rectangular garden measures 11.25m while its width measures 6.75m.Calculate the perimeter of the garden.
(Solved)
The diagonal of a rectangular garden measures 11.25m while its width measures 6.75m.Calculate the perimeter of the garden.
Date posted:
May 2, 2019
.
Answers (1)
-
Without using mathematical table or calculator, evaluate:
(Solved)
Without using mathematical table or calculator, evaluate:

Date posted:
May 2, 2019
.
Answers (1)
-
In the diagram below OX = x and OY = y, M and N are points on OY and XY respectively where OM =1/3 OY...
(Solved)
In the diagram below OX = x and OY = y, M and N are points on OY and XY respectively where OM =1/3 OY and XN =2/5 XY. Lines XM and ON interest at P such that OP =5/9 ON.

(a) Express in terms of vector x and y.
(i) XY
(ii) ON
(iii) XM
(b) Express XP and PM in terms of x and y
(c) State the ratio XP:PM
Date posted:
April 30, 2019
.
Answers (1)
-
A taxi businessman borrows Sh. 650,000.00 from a bank to buy a taxi valued at the same amount.The bank charges interest at 24% p.a. compounded...
(Solved)
A taxi businessman borrows Sh. 650,000.00 from a bank to buy a taxi valued at the same amount.The bank charges interest at 24% p.a. compounded quarterly. Calculate the compound interest paid to the bank after 1½ years rounded to the nearest shilling.
Date posted:
April 30, 2019
.
Answers (1)
-
In a certain year income tax was charged at the rates shown below.
(Solved)
In a certain year income tax was charged at the rates shown below.

Mrs. Munene earns a basic salary of KSh. 15000.00, a house allowance of KSh. 8,000.00 and a commuter allowance of
KSh. 2,000.00 per month. She pays a health insurance scheme at Sh. 320 per month and she is entitled to a personal
relief of Sh. 1156.00 per month.
Determine
(i) Her annual taxable income in K£
(ii) The income tax she pays per year after relief.
Date posted:
April 30, 2019
.
Answers (1)
-
A colony of bees was found to have 100 bees at the beginning. Thereafter, the number doubled every two days. How many bees will be...
(Solved)
A colony of bees was found to have 100 bees at the beginning. Thereafter, the number doubled every
two days. How many bees will be in the colony after 14 days?
Date posted:
April 30, 2019
.
Answers (1)
-
The nth term of a series is given by 6 – 4n.
(Solved)
The nth term of a series is given by 6 – 4n.
(i) Write down the first four terms of the series.
(ii) Find the sum of the first 16 terms of the series.
(iii) Find the 25th term.
Date posted:
April 30, 2019
.
Answers (1)
-
Give that a = 6i, b = 5i – 3j and c = 3i + j, find scalars h and k such that ha +...
(Solved)
Give that a = 6i, b = 5i – 3j and c = 3i + j, find scalars h and k such that ha + kb = c
Date posted:
April 30, 2019
.
Answers (1)
-
Jane bought five Physics books and six Mathematics books for a total of Sh. 2440. Her friend Gakii bought two Physics
books and three Mathematics books...
(Solved)
Jane bought five Physics books and six Mathematics books for a total of Sh. 2440. Her friend Gakii bought two Physics
books and three Mathematics books more than Jane and spent Sh. 3560.00.
Calculate the cost of each Mathematics book.
Date posted:
April 30, 2019
.
Answers (1)
-
Find the length NX in the figure below that PQ = 9cm, PX = 12cm and MX = 15cm.
(Solved)
Find the length NX in the figure below that PQ = 9cm, PX = 12cm and MX = 15cm.

Date posted:
April 30, 2019
.
Answers (1)
-
Given that the matrix below is a singular matrix find the possible values of x.
(Solved)
Given that the matrix below is a singular matrix find the possible values of x.

Date posted:
April 30, 2019
.
Answers (1)
-
Solve for x in the equation given below
(Solved)
Solve for x in the equation given below

Date posted:
April 30, 2019
.
Answers (1)
-
AB is a diameter of a circle. Given that the coordinates of A and B are (-2,2) and (-2,6) respectively, find the equation of
the circle...
(Solved)
AB is a diameter of a circle. Given that the coordinates of A and B are (-2,2) and (-2,6) respectively, find the equation of
the circle in the form ax2 + by2 + cx + dy + e = 0
Date posted:
April 30, 2019
.
Answers (1)
-
Expand and simplify (2 – y)5 and use the first four terms to find the approximate value of (1.8)5 to 2 decimal places.
(Solved)
Expand and simplify (2 – y)5 and use the first four terms to find the approximate value of (1.8)5 to 2 decimal places.
Date posted:
April 30, 2019
.
Answers (1)
-
Points P(2,3) and Q (4,5) are mapped into P1(12,14) and Q1 (22,24) respectively by a transformation matrix T. Find the matrix T.
(Solved)
Points P(2,3) and Q (4,5) are mapped into P1(12,14) and Q1 (22,24) respectively by a transformation matrix T. Find the matrix T.
Date posted:
April 30, 2019
.
Answers (1)
-
Given that Sin theta =5/13,determine the value of tan (90 - theta) without using a calculator or mathematical tables.
(Solved)
Given that Sin theta =5/13,determine the value of tan (90 - theta) without using a calculator or mathematical tables.
Date posted:
April 30, 2019
.
Answers (1)
-
The table below shows masses of marbles in a certain lab.
(Solved)
The table below shows masses of marbles in a certain lab.

Estimate the median using calculation.
Date posted:
April 30, 2019
.
Answers (1)
-
Simplify the fraction.
(Solved)
Simplify the fraction.

Date posted:
April 30, 2019
.
Answers (1)