-
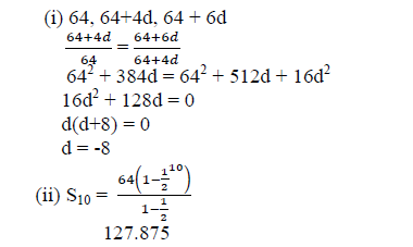
The first term of an arithmetic progression is 3 and the sum of its 8 terms is 164.
(Solved)
The first term of an arithmetic progression is 3 and the sum of its 8 terms is 164.
(i) Find the common difference of the arithmetic progression.
(ii) Given that the sum of the first terms of AP is 570, find n.
Date posted:
May 2, 2019
.
Answers (1)
-
A right pyramid VABCD below has a square base ABCD of side 4m. The slant edges VA, VB, VC and VD are 6m long.
(Solved)
A right pyramid VABCD below has a square base ABCD of side 4m. The slant edges VA, VB, VC and VD are 6m long.

Calculate
(i) the height of the pyramid.
(ii) the angle between the plane VAB and the base ABCD.
(iii) C1 and D1 are mid points of VC and VD respectively. Calculate the angle between the planes ABCD and ABC1D1.
Date posted:
May 2, 2019
.
Answers (1)
-
The electricity bill E of school is partly fixed and partly varies inversely as the total number of students T.
(Solved)
The electricity bill E of school is partly fixed and partly varies inversely as the total number of students T.
(a) Write down an expression of E in terms of T.
(b) When the school had 100 students the bill was KSh. 174 per student while for 35 students the bill was KSh. 200 per
student. Calculate the fixed charge.
(c) Find the appropriate number of students for which the two parts of electricity bill are equal.
(d) Find the electricity bill E when the students population is 1000.
Date posted:
May 2, 2019
.
Answers (1)
-
A ship sailing at a speed of 200 knots left harbour A (300S, 320E) and sailed due north to harbour B (300N, 320E).
(Solved)
A ship sailing at a speed of 200 knots left harbour A (300S, 320E) and sailed due north to harbour B (300N, 320E).
(a) Calculate the distance it covered in nautical miles.
(b) After a 15 minutes stop over at B the ship due west to harbour C (300N, 150E) at the same speed.
(i) Calculate the total time taken by the ship from A to C through B.
(ii)If the ship took off from A at 2:00p.m,at what time will it reach C?.
Date posted:
May 2, 2019
.
Answers (1)
-
Evaluate the expression below;
(Solved)
Evaluate the expression below;

Date posted:
May 2, 2019
.
Answers (1)
-
An unbiased coin with faces, head (H) and tail (T) and a fair die with faces marked 1, 2,3,4,5, 6 are each tossed once.Calculate the...
(Solved)
An unbiased coin with faces, head (H) and tail (T) and a fair die with faces marked 1, 2,3,4,5, 6 are each tossed once.Calculate the probability that a 4 of the die and a head (H) of the coin shows up.
Date posted:
May 2, 2019
.
Answers (1)
-
The position vectors of points P and Q are p =2i + 3j – k and q = 3i – 2j + 2k respectively. Find...
(Solved)
The position vectors of points P and Q are p =2i + 3j – k and q = 3i – 2j + 2k respectively. Find the magnitude of PQ correct to 4 significant figures.
Date posted:
May 2, 2019
.
Answers (1)
-
a)Expand and simplify (1 – 5x)4.
(Solved)
a)Expand and simplify (1 – 5x)4.
b) Use the expansion in (a) above to estimate the value of 0.94 to 4 significant figures.
Date posted:
May 2, 2019
.
Answers (1)
-
A man invests KSh. 10,000 in an account which pays 16% interests p.a compounded quarterly. Find the amount in the account after 1 ½ years.
(Solved)
A man invests KSh. 10,000 in an account which pays 16% interests p.a compounded quarterly. Find the amount in the account after 1 ½ years.
Date posted:
May 2, 2019
.
Answers (1)
-
Make P the subject of the formula in:-
(Solved)
Make P the subject of the formula in:-

Date posted:
May 2, 2019
.
Answers (1)
-
In the figure below DC is a tangent to the circle at point D. Given that ABC is a straight line where AB = 7cm...
(Solved)
In the figure below DC is a tangent to the circle at point D. Given that ABC is a straight line where AB = 7cm and AC =
16.5cm, find the length of DC.

Date posted:
May 2, 2019
.
Answers (1)
-
By expressing tan 300 as
(Solved)
By expressing tan 300 as
simply the expression
leaving your answer with a rationalized denominator.
Date posted:
May 2, 2019
.
Answers (1)
-
Use logarithm tables to evaluate:
(Solved)
Use logarithm tables to evaluate:

Date posted:
May 2, 2019
.
Answers (1)
-
Solve 2Sin2y + 3Cos y = 3 for 00= 3600.
(Solved)
Solve 2Sin2y + 3Cos y = 3 for 00≤ 3600.
Date posted:
May 2, 2019
.
Answers (1)
-
Kamau sells a packet of type A of sugar for KSh. 63 and that of type B of Sugar for KSh. 36. He mixed the...
(Solved)
Kamau sells a packet of type A of sugar for KSh. 63 and that of type B of Sugar for KSh. 36. He mixed the two types of sugar in the ratio 3:2. Find the price per packet of the mixture for which he will make the same profit as before.
Date posted:
May 2, 2019
.
Answers (1)
-
A radius of a circle is given as 2.8cm to 2 significant figures. By taking ?? to be 3.142, find to 4 significant figures, the...
(Solved)
A radius of a circle is given as 2.8cm to 2 significant figures. By taking 𝜋 to be 3.142, find to 4 significant figures, the limits between the area of the circle lie.
Date posted:
May 2, 2019
.
Answers (1)
-
The diagram below shows a circle ABC with AB = 12cm, BC = 15cm and AC = 14cm.
(Solved)
The diagram below shows a circle ABC with AB = 12cm, BC = 15cm and AC = 14cm.

Calculate to 4 significant figures.
(a) The angle ACB
(b) The radius of the circle
(c) The area of the shaded region.
Date posted:
May 2, 2019
.
Answers (1)
-
(a) Fill in the table below for the function.
y = 2x2 + 5x – 12 for -8= x =4
(Solved)
(a) Fill in the table below for the function.
y = 2x2 + 5x – 12 for -8≤ x ≤4

(b) Using the table, draw the graph of the function y = 2x2 + 5x – 12.
(c) Use the drawn above to solve the following equations.
(i) 2x2 + 5x – 12 = 0
(ii) 3 – 7x – 2x2= 0
Date posted:
May 2, 2019
.
Answers (1)
-
The diagram below shows a triangle OPQ in which QN:NP = 1:2, OT:TN = 3:2 and M is the midpoint of OQ.
(Solved)
The diagram below shows a triangle OPQ in which QN:NP = 1:2, OT:TN = 3:2 and M is the midpoint of OQ.

(a) Given that OP = p and OQ = q. Express the following vectors in terms of p and q.
(i) PQ
(ii) ON
(iii) PT
(iv) PM
(b) (i) Show that points P, T and M are collinear.
(ii) Determine the ratio MT:TP
Date posted:
May 2, 2019
.
Answers (1)
-
The figure below shows a model of a pillar to be constructed at the Canterbury. The model consists of a circular base of
diameter and a...
(Solved)
The figure below shows a model of a pillar to be constructed at the Canterbury. The model consists of a circular base of
diameter and a uniform pentagon stand of side 6cm and height 20cm.

(a) Calculate the cross-sectional area of the pentagon to 2 decimal places.
(b) Calculate the total volume of the model to 2 dp.
(c) If the height of the real pillar is 52m and the constructor uses two bags of cement for every 500m3 of the
construction, calculate the least number of bags of cement required.
Date posted:
May 2, 2019
.
Answers (1)