-
Find the exact area of the shaded region.
(Solved)
Find the exact area of the shaded region.

Date posted:
May 3, 2019
.
Answers (1)
-
The eleventh term of an A.P is four times the second term. If the sum of the first seven terms of the A.P is 175
find...
(Solved)
The eleventh term of an A.P is four times the second term. If the sum of the first seven terms of the A.P is 175
find the first term and the common difference.
Date posted:
May 3, 2019
.
Answers (1)
-
A quantity y varies partly as x and partly as the inverse of the square of x. If x = 2 when y = 4...
(Solved)
A quantity y varies partly as x and partly as the inverse of the square of x. If x = 2 when y = 4 and x = 4
when y = 6.25 find the equation connecting x and y.
Date posted:
May 3, 2019
.
Answers (1)
-
Expand (2 + 1/4x)6 up to the term containing x4. Hence evaluate (1.975)6 to 5 d.p.
(Solved)
Expand (2 + 1/4x)6 up to the term containing x4. Hence evaluate (1.975)6 to 5 d.p.
Date posted:
May 3, 2019
.
Answers (1)
-
Solve for x in the equation
(Solved)
Solve for x in the equation
6Sin2x - Cos x - 5 = 0 for 0 ≤ x ≤ 3600.
Date posted:
May 3, 2019
.
Answers (1)
-
Ketepa tea worth ksh. 40 per kg is mixed with Sasini tea worth sh. 60 per kg in the ratio 3:1. In what ratio should...
(Solved)
Ketepa tea worth ksh. 40 per kg is mixed with Sasini tea worth sh. 60 per kg in the ratio 3:1. In what ratio should this
mixture be mixed with Kericho tea worth sh. 50 per kg to produce a mixture worth sh. 47 per kg.
Date posted:
May 3, 2019
.
Answers (1)
-
Find the radius and co-ordinates of the centre of a circle whose equation is
(Solved)
Find the radius and co-ordinates of the centre of a circle whose equation is

Date posted:
May 3, 2019
.
Answers (1)
-
Solve for x in the equation.
(Solved)
Solve for x in the equation.
22x-1 +4x+1 =264
Date posted:
May 3, 2019
.
Answers (1)
-
Two taps A and B together, can fill water in a tank in 6 minutes. Tap A alone takes 5 minutes longer to fill the...
(Solved)
Two taps A and B together, can fill water in a tank in 6 minutes. Tap A alone takes 5 minutes longer to fill the tank than
the tap B alone. How many minutes does it take tap B alone to fill the tank.
Date posted:
May 3, 2019
.
Answers (1)
-
Make p the subject of the formula;
(Solved)
Make p the subject of the formula;

Date posted:
May 3, 2019
.
Answers (1)
-
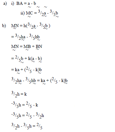
The position vectors of A and B are a = 2i - 3j + 4k and b = -2i - j + 2k respectively. Find...
(Solved)
The position vectors of A and B are a = 2i - 3j + 4k and b = -2i - j + 2k respectively. Find to 2d.p the length of vector AB.
Date posted:
May 3, 2019
.
Answers (1)
-
Rono invested a sum of money, sh p at 24% p.a simple interest for 8 years and realised that he got the same amount as
Wekesa...
(Solved)
Rono invested a sum of money, sh p at 24% p.a simple interest for 8 years and realised that he got the same amount as
Wekesa who invested sh. 2p for 4 years at compound interest. Calculate the rate of interest p.a
Wekesa enjoyed.
Date posted:
May 3, 2019
.
Answers (1)
-
Use logarithms correct to 4 significant figures to evaluate.
(Solved)
Use logarithms correct to 4 significant figures to evaluate.

Date posted:
May 3, 2019
.
Answers (1)
-
A bus travels from Murang’a to Meru a distance of 320km at a speed of x km/h. If the speed is reduced by 20km/h the
bus...
(Solved)
A bus travels from Murang’a to Meru a distance of 320km at a speed of x km/h. If the speed is reduced by 20km/h the
bus would take 48 minutes more.
a) Form an equation to represent the given information and simplify it.
b) Find the speed of the bus.
c) Determine the time taken by the bus for the whole journey.
d) Another car is moving from Meru to Murang’a at a speed of 80km/h. Determine their relative speed.
Date posted:
May 3, 2019
.
Answers (1)
-
The table below shows measurements, in metres made by surveyor in his field book.
(Solved)
The table below shows measurements, in metres made by surveyor in his field book.

i) Using an appropriate scale draw the region.
ii) Find the area in hectares of the filed.
Date posted:
May 3, 2019
.
Answers (1)
-
The diagram below is a right pyramid on a rectangular base.
(Solved)
The diagram below is a right pyramid on a rectangular base.

Given that the volume of the solid is 280m3 and its base area is 60cm2 and that AB : BC = 3 : 5, determine
i) The height of the pyramid.
ii) The length and width of the base.
iii) The slant edge of the pyramid.
Date posted:
May 3, 2019
.
Answers (1)
-
The following data shows the sample of age distribution in years of the people who reside in a certain village in
Murang’a.
(Solved)
The following data shows the sample of age distribution in years of the people who reside in a certain village in
Murang’a.

a) Complete the histogram of the given data below.

b) Calculate the mean age of the given sample in the village.
Date posted:
May 3, 2019
.
Answers (1)
-
The figure below is a cone whose base radius is 7cm and slant height 14cm. The net of the cone is a sector of a...
(Solved)
The figure below is a cone whose base radius is 7cm and slant height 14cm. The net of the cone is a sector of a circle.

a) Find the angle substended at the centre of the sector.
b) Draw the net of the solid.
Date posted:
May 3, 2019
.
Answers (1)
-
Solve the simultaneous inequalities and represent the solution on a number line; 4 - 2x < 8 and 2 - 3x = - 7
(Solved)
Solve the simultaneous inequalities and represent the solution on a number line; 4 - 2x < 8 and 2 - 3x ≥ - 7
Date posted:
May 3, 2019
.
Answers (1)
-
Given that a = 5i + 4j, b = 3i - 2j and c = 7i + 10j; find the scalars m and n such...
(Solved)
Given that a = 5i + 4j, b = 3i - 2j and c = 7i + 10j; find the scalars m and n such that ma + nb = c
Date posted:
May 3, 2019
.
Answers (1)