-
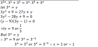
Evaluate the following;
(Solved)
Evaluate the following;

Date posted:
May 7, 2019
.
Answers (1)
-
Otieno bought a second hand car and later sold it through a sales agent who charges 7 ½ % commissions on the price
of the car....
(Solved)
Otieno bought a second hand car and later sold it through a sales agent who charges 7 ½ % commissions on the price
of the car. He received sh. 222,000 from the agent after the tatter had deducted his commission .Otieno incurred a loss
of 25% on the price at which he had bought the car.
a) Calculate the price at which the agent sold the car.
b) Find the price at which Otieno had bought the car
c) If the amount otieno paid for the car was 26% less than the price of the new car, calculate the price of the new car to
the nearest cent.
d) Express as a percentage the amount Otieno received for his car to its price when new.
Date posted:
May 7, 2019
.
Answers (1)
-
The position of two satellite station A and B on the earth’s surface are (360N, 500E) and ( 360N, 1300W) respectively .( use ?? =...
(Solved)
The position of two satellite station A and B on the earth’s surface are (360N, 500E) and ( 360N, 1300W) respectively .( use 𝜋 = 3.142 and R = 6400KM)
a) Find the distance along the small circle in km.
b) Find the shortest distance between A and B in nm
c) If time A is 1700hrs, calculate the time at B in 12 hrs system.
Date posted:
May 7, 2019
.
Answers (1)
-
The frequency distribution of marks 80 students is given in the table below.
(Solved)
The frequency distribution of marks 80 students is given in the table below.

a) Using 45.5 as assumed mean calculate the standard deviation of the data.
b) On the grid provided, represent the data on an ogive and use it to find:
i) The median mark
ii) The pass marks if 60% of the students are to pass.
Date posted:
May 7, 2019
.
Answers (1)
-
a.) Determine the inequalities that define the unshaded region below
(Solved)
a.) Determine the inequalities that define the unshaded region below

b) calculate the area of the unshaded region
Date posted:
May 7, 2019
.
Answers (1)
-
OABC is a trapezium in which OA = a and AB = b. AB is parallel to OC with 2AB = OC. T is a...
(Solved)
OABC is a trapezium in which OA = a and AB = b. AB is parallel to OC with 2AB = OC. T is a point on OC produced sothat OC: CT = 2:1. AT and BC intersect at X. So that BX = hBC and AX = kAT

a) Express the following in terms a and b.
i) OB
ii) BC
b) Express CX in terms of a, b, and h.
c) Express CX in terms of a, b, and k.
d) Hence calculate the values of h and k
Date posted:
May 7, 2019
.
Answers (1)
-
The probability of Owino going to school by tuktuk is ¼ while that of going by boda boda is 2/5 .If he travels by tuktuk,
the...
(Solved)
The probability of Owino going to school by tuktuk is ¼ while that of going by boda boda is 2/5 .If he travels by tuktuk,
the probability of arriving in school late is 1/7 whereas that of the boda boda is 1/3. If he uses other means , the
probability of him getting to school late is 1/10
a) Draw a tree diagram to represent the above information.
b) Calculate the probability that:
i) He is late for school.
ii) He is not late for school
iii) He is late for school if he does not use boda boda.
Date posted:
May 7, 2019
.
Answers (1)
-
Find the equation of the normal to the curve y = 3x2 - 8x+5 at the point where x = 2 in the form ax...
(Solved)
Find the equation of the normal to the curve y = 3x2 - 8x+5 at the point where x = 2 in the form ax + by = c
Date posted:
May 7, 2019
.
Answers (1)
-
The quantities P and Q are such that P varies partly as Q and partly as the square of Q. When q = 60 and...
(Solved)
The quantities P and Q are such that P varies partly as Q and partly as the square of Q. When q = 60 and when Q = 3, P
= 105.
a) Write the equation connecting P and Q.
b) Find the value of P when Q = 5
Date posted:
May 7, 2019
.
Answers (1)
-
Determine the centre and radius of a circle whose equation is given by 2x2 + 2y2 - 8x + 4y + 2 = 0
(Solved)
Determine the centre and radius of a circle whose equation is given by 2x2 + 2y2 - 8x + 4y + 2 = 0
Date posted:
May 7, 2019
.
Answers (1)
-
In the figure below, AT is a tangent to the circle at A. AB and CD intersect at X. Give that BX = 4 cm,...
(Solved)
In the figure below, AT is a tangent to the circle at A. AB and CD intersect at X. Give that BX = 4 cm, CX = 6cm, CD = 12
cm and AT = 8cm , calculate:

a) the legth of AX
b) the length of secant CT.
Date posted:
May 7, 2019
.
Answers (1)
-
a) Expand (1 – 2x)6 upto to the fourth term.
(Solved)
a) Expand (1 – 2x)6 upto to the fourth term.
b) Use the expansion in (a) above to find the value of (0.98)6 correct to 4 significant figures.
Date posted:
May 7, 2019
.
Answers (1)
-
The base and the height of a right angled triangle were measured as 4.34 cm and 8.25 cm respectively.Calculate the percentage error in the area...
(Solved)
The base and the height of a right angled triangle were measured as 4.34 cm and 8.25 cm respectively.Calculate the percentage error in the area of the triangle.
Date posted:
May 7, 2019
.
Answers (1)
-
Simplify the expression.
(Solved)
Simplify the expression.

Date posted:
May 7, 2019
.
Answers (1)
-
Solve for x and y given that.
(Solved)
Solve for x and y given that.

Date posted:
May 7, 2019
.
Answers (1)
-
Find the interquartile range of the data below:
2,4,6,8,10,5,6,9,4,6
(Solved)
Find the interquartile range of the data below:
2,4,6,8,10,5,6,9,4,6
Date posted:
May 7, 2019
.
Answers (1)
-
Solve for x in the equation. Sin (2x – 10)0 = -0.5 for 00= x= 3600
(Solved)
Solve for x in the equation. Sin (2x – 10)0 = -0.5 for 00≤ x≤ 3600
Date posted:
May 7, 2019
.
Answers (1)
-
In the triangle below, a point R moves such that the area of ? ACB = area of ? ARB and < ARB = 300....
(Solved)
In the triangle below, a point R moves such that the area of Δ ACB = area of Δ ARB and < ARB = 300. Using a ruler and
a pair of compasses only, locate the possible position of R on the same side as C and find the distance between them.

Date posted:
May 7, 2019
.
Answers (1)
-
A point divides line PQ in the ratio 3: -2. Given that P = 2i -3j + k and Q = 3i -4j – 3k...
(Solved)
A point divides line PQ in the ratio 3: -2. Given that P = 2i -3j + k and Q = 3i -4j – 3k find the coordinates of T.
Date posted:
May 7, 2019
.
Answers (1)
-
Make x the subject of the formula
(Solved)
Make x the subject of the formula

Date posted:
May 7, 2019
.
Answers (1)