-
Find the sum of the first six terms of the progression given;
(Solved)
Find the sum of the first six terms of the progression given;
Log 2x + log 4x + log 8x + log 16x + ..........
leaving your answer in the form a log bx2 where a and b are integers.
Date posted:
May 9, 2019
.
Answers (1)
-
Given that OA = 3i + 2j - 4k and OB = 4i + 5j - 2k. P divides AB externally in the ratio 3:...
(Solved)
Given that OA = 3i + 2j - 4k and OB = 4i + 5j - 2k. P divides AB externally in the ratio 3: -2. Determine the position
vector of P in terms of i, j and k.
Date posted:
May 9, 2019
.
Answers (1)
-
Make P the subject of the formula.
(Solved)
Make P the subject of the formula.

Date posted:
May 9, 2019
.
Answers (1)
-
The cost per kg of two brand of tea x and y are Sh. 60 and Sh. 80. The two brands are mixed and sold...
(Solved)
The cost per kg of two brand of tea x and y are Sh. 60 and Sh. 80. The two brands are mixed and sold at a profit of 20%
above the cost. if 1kg mixture was sold at Sh. 78, determine the ratio in which the two brands were mixed.
Date posted:
May 9, 2019
.
Answers (1)
-
Simplify the expression.
(Solved)
Simplify the expression.

Date posted:
May 9, 2019
.
Answers (1)
-
P and Q are the points on the ends of the diameter of the circle below.
(Solved)
P and Q are the points on the ends of the diameter of the circle below.

(a) Write down in terms of x and y the equation of the circle in the form;
ax2 + by2 + x + y + c = 0
(b) Find the equation of the tangent at Q in the form ax + by + c = 0.
Date posted:
May 9, 2019
.
Answers (1)
-
Solve for x in the equation below
(Solved)
Solve for x in the equation below

Date posted:
May 9, 2019
.
Answers (1)
-
(a) Given matrices P and Q below,Find PQ.
(Solved)
(a) Given matrices P and Q below,Find PQ.

(b) Hence, find the point of intersection of the lines 4x + y = 9 and 3y =2x -1
Date posted:
May 9, 2019
.
Answers (1)
-
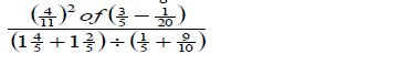
Using a calculator, simplify;
(Solved)
Using a calculator, simplify;

Date posted:
May 9, 2019
.
Answers (1)
-
Evaluate without using tables or calculator.
(Solved)
Evaluate without using tables or calculator.

Date posted:
May 9, 2019
.
Answers (1)
-
On a certain day Mwema bought plates worth Ksh 120. On another day Mrs Mwema spent the same amount of money
but bought the plates at...
(Solved)
On a certain day Mwema bought plates worth Ksh 120. On another day Mrs Mwema spent the same amount of money
but bought the plates at a discount of 20% per plate.
(a) If Mwema bought a plate at sh x write down a simplified expression for the total number of plates bought by the
two people.
(b) If Mrs. Mwema bought 6 plates more than her husband find how much each spent on a plate.
(c) Find the total number of plates bought by the family.
Date posted:
May 9, 2019
.
Answers (1)
-
Two circles centres O and C have radii 7.2cm and 6.5cm respectively. The two circles intersect at P and Q and PQ
=10cm.
(Solved)
Two circles centres O and C have radii 7.2cm and 6.5cm respectively. The two circles intersect at P and Q and PQ
=10cm.

(a) Find
(i) angle POQ
(ii)angle PCQ
(b) The area of the shaded part. Give answer to 4s.f.
(c) Express angle POQ in radians.
Date posted:
May 9, 2019
.
Answers (1)
-
A glass is in the shape of a frustum of a cone.
(Solved)
A glass is in the shape of a frustum of a cone.

The bottom of the glass is a curve of radius 2cm. A father pours water into the glass to a height of 9cm, while the
surface of the water is a circle of radius 6cm.
(a) Calculate the volume of the water in the glass.
(b) The son who is playing with marbles drops two spherical balls into the water. The water level in the glass rises by
1.5cm as a result.
Calculate:
(i) the volume of one marble.
(ii) the radius of a marble.
Date posted:
May 9, 2019
.
Answers (1)
-
The table below gives the marks scored by a group of students in an exam.
(Solved)
The table below gives the marks scored by a group of students in an exam.

(a) Given that the mean mark was 32.125, find x.
(b) State the modal class.
(c) Calculate the interquartile range.
Date posted:
May 9, 2019
.
Answers (1)
-
(a) Complete the table below for y = 8 - 10x - 3x2.
(Solved)
(a) Complete the table below for y = 8 - 10x - 3x2.

(b) On the grid provided, draw the graph of y = 8 - 10x -3x2
(c) State the equation of the line of symmetry of y = 8 - 10x - 3x2
(d) Use your graph to solve:
(i) 3x2+ 10x - 8 = 0
(ii) 3x2+ 11x + 6 = 0
Date posted:
May 9, 2019
.
Answers (1)
-
A ship sails from A to D through B and C. B is 500km on a bearing of N50°E from A. C is on a...
(Solved)
A ship sails from A to D through B and C. B is 500km on a bearing of N50°E from A. C is on a bearing of 340° from B and
at a distance of 620km. The bearings of D from A and C are N20°W and 560°W respectively.
(a) Using the scale 1cm to rep 100km, show the relative positions of A, B, C and D.
(b) Find the distance of D from:
(i) A
(ii) C
(c) Find the bearing of D from B.
(d) If the ship was sailing at an average of 500km/h. Find how long the journey took. Give the
answer to the nearest hour.
Date posted:
May 9, 2019
.
Answers (1)
-
Evaluate the following expression
(Solved)
Evaluate the following expression

Date posted:
May 9, 2019
.
Answers (1)
-
Given that 5x = 4y, evaluate
(Solved)
Given that 5x = 4y, evaluate

Date posted:
May 9, 2019
.
Answers (1)
-
Find a 2 x 2 matrix m such that;
(Solved)
Find a 2 x 2 matrix m such that;

Date posted:
May 9, 2019
.
Answers (1)
-
The angle of elevation of the top of a flag post from a point A on the level ground is 12°. The angle of elevation...
(Solved)
The angle of elevation of the top of a flag post from a point A on the level ground is 12°. The angle of elevation of the top
of the flag post from another point B nearer to the flag post and 98m away from A is 34°. B is in between A and the
bottom of the flag post and the three points are collinear. Find the height of the flag post to the nearest metre.
Date posted:
May 9, 2019
.
Answers (1)