-
Use logarithm table to evaluate to 4 decimal places.
(Solved)
Use logarithm table to evaluate to 4 decimal places.

Date posted:
May 9, 2019
.
Answers (1)
-
Main was paid an initial salary of Kshs 200,000 per annum with a fixed annual increment. John was paid an initial salary of
Kshs 250,000 per...
(Solved)
Main was paid an initial salary of Kshs 200,000 per annum with a fixed annual increment. John was paid an initial salary of
Kshs 250,000 per annum with 50% increment compounded annually.
a) Given that Maina's annual salary is the 8th year was Kshs 298,000 determine
i) His annual increment.
ii) The total amount of money Maina earned during the 8 years.
b) Determine John's monthly earning, correct to the nearest shillings during the eight year.
c) Determine, correct to the nearest shilling
i) The total mount of money John earned during the 8 years.
ii) The difference between Maina's and John's average monthly earning during the 8 years.
Date posted:
May 9, 2019
.
Answers (1)
-
A right conical frustum of base radius 7cm, top radius 4cm and height 5cm is stuck onto a cylinder or base radius 7 cm and
height...
(Solved)
A right conical frustum of base radius 7cm, top radius 4cm and height 5cm is stuck onto a cylinder or base radius 7 cm and
height 6 cm and further attached to the hemisphere to form a closed solid as shown below. (Take pi = 22/7)

a) Find the volume of the solid.
b) Given that the mass or the solid is 2430g find its density.
Date posted:
May 9, 2019
.
Answers (1)
-
Triangle PQR whose vertices are P(2, 2), Q(5, 3) and R(4, 1) is mapped onto triangle P1Q1R1 by a transformation whose
matrix is
(Solved)
Triangle PQR whose vertices are P(2, 2), Q(5, 3) and R(4, 1) is mapped onto triangle P1Q1R1 by a transformation whose
matrix is

a) On the grid provided draw triangle PQR and P1Q1R1
b) The triangle P1Q1R1 is mapped onto triangle P11Q11R11 whose vertices are P11 (-2, -2), Q11(-5, -3), R11 (-4, -1)
i) Find the matrix of transformation which maps triangle P1Q1R1 onto triangle P11Q11R11
ii) Draw the image P11Q11R11 on the same grid and fully described the transformation that maps PQR onto P11Q11R11
Date posted:
May 9, 2019
.
Answers (1)
-
Three towns X, Y and Z are such that X is on a bearing of 120° and 20 km from Y. Town Z is on...
(Solved)
Three towns X, Y and Z are such that X is on a bearing of 120° and 20 km from Y. Town Z is on a bearing of 220o and 12km
from X.
a) Using a scale of 1cm to represent 2km, show the relative position of the places.
b) Find;
i) The distance between Y and Z
ii) The bearing of X from Z
iii) The bearing of Z from Y.
iv) The area of the figure bounded by XYZ.
Date posted:
May 9, 2019
.
Answers (1)
-
A bus left Kisumu for Nairobi at an average speed of 60km/hr. After 1½ hours another car left Kisumu for Nairobi along the
same route at...
(Solved)
A bus left Kisumu for Nairobi at an average speed of 60km/hr. After 1½ hours another car left Kisumu for Nairobi along the
same route at an average speed of 100km/hr. If the distance between Kisumu and Nairobi is 500km, determine:
a) i) The distance of the bus from Nairobi when the car took off.
ii) The distance the car travelled to catch up with the bus.
b) Immediately the car caught up with the bus, the car stopped for 25 minutes. Find the new average speed of which the car
travelled in order to reach Nairobi at the same time at the bus. (to the nearest whole number).
Date posted:
May 9, 2019
.
Answers (1)
-
The marks obtained by 10 students in a maths test were
25, 24, 22, 23, x, 26, 21, 23, 22, and 27
(Solved)
The marks obtained by 10 students in a maths test were
25, 24, 22, 23, x, 26, 21, 23, 22, and 27
The sum of the squares of the marks = 5154
a) Calculate the
i) value of x.
ii) Standard deviation.
b) If each is increased by 3, write down the
i) New mean
ii) New Standard deviation.
Date posted:
May 9, 2019
.
Answers (1)
-
A bus travelling at a an average speed of 63km/h, left the station at 8 : 15am. A car left the same station at 9:00...
(Solved)
A bus travelling at a an average speed of 63km/h, left the station at 8 : 15am. A car left the same station at 9:00 am and
caught up with the bus at 10:45. Find the average speed of the car.
Date posted:
May 9, 2019
.
Answers (1)
-
In the figure below angle EHF =angle EFH = 90°. HF = 5cm and EF = 12cm. Calculate the length of FG leaving your answer...
(Solved)
In the figure below angle EHF =angle EFH = 90°. HF = 5cm and EF = 12cm. Calculate the length of FG leaving your answer as a mixed
fraction.

Date posted:
May 9, 2019
.
Answers (1)
-
Use reciprocals, cubes and square root tables to evaluate.
(Solved)
Use reciprocals, cubes and square root tables to evaluate.

Date posted:
May 9, 2019
.
Answers (1)
-
a) Using the line given below construct the locus of a point P one side such that angle APB = 60°
(Solved)
a) Using the line given below construct the locus of a point P one side such that angle APB = 60°

b) On the same diagram locate the position of point C on the Locus of P and is equidistance from A and B.
Date posted:
May 9, 2019
.
Answers (1)
-
Solve for x in 125x + 53x - 3 = 47
(Solved)
Solve for x in 125x + 53x - 3 = 47
Date posted:
May 9, 2019
.
Answers (1)
-
Each interior angle of a regular polygon is 100 larger than the exterior angle. Determine the number of sides of the polygon.
(Solved)
Each interior angle of a regular polygon is 100 larger than the exterior angle. Determine the number of sides of the polygon.
Date posted:
May 9, 2019
.
Answers (1)
-
The figure below shows a frustum. Find its volume.
(Solved)
The figure below shows a frustum. Find its volume.

Date posted:
May 9, 2019
.
Answers (1)
-
x (4, -3) and y(-3, -4) are points on a straight line. Find the equation of a line perpendicular to xy, passing through y. Giving
your...
(Solved)
x (4, -3) and y(-3, -4) are points on a straight line. Find the equation of a line perpendicular to xy, passing through y. Giving
your answer in the form ax + by + c = 0
Date posted:
May 9, 2019
.
Answers (1)
-
A tourist arrived from USA and changed his US $ 1500 to Kshs. He spent Kshs 3,000 per night in a hotel for 20 nights...
(Solved)
A tourist arrived from USA and changed his US $ 1500 to Kshs. He spent Kshs 3,000 per night in a hotel for 20 nights and a
further Kshs 5,000 daily for entire period. He left for South Africa having changed the balance to South African Rand.
Calculate the amount of South African Rands he was left with, if the bank buys and sells currencies using the table below.

Date posted:
May 9, 2019
.
Answers (1)
-
The diagram below represents a parallelogram. Calculate the area of the shaded region.
(Solved)
The diagram below represents a parallelogram. Calculate the area of the shaded region.

Date posted:
May 9, 2019
.
Answers (1)
-
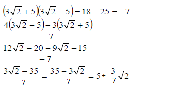
Simplify the expression
(Solved)
Simplify the expression

Date posted:
May 9, 2019
.
Answers (1)
-
Find the integral values that satisfy the inequality.
2x + 3 = 5x - 3 > - 8
(Solved)
Find the integral values that satisfy the inequality.
2x + 3 ≥ 5x - 3 > - 8
Date posted:
May 9, 2019
.
Answers (1)
-
Find the least number of biscuits that can be packed into carton boxes which contain either 9 or 15 or 20 or 24 with none
left...
(Solved)
Find the least number of biscuits that can be packed into carton boxes which contain either 9 or 15 or 20 or 24 with none
left over.
Date posted:
May 9, 2019
.
Answers (1)