-
Show that
(Solved)

Date posted:
May 10, 2019
.
Answers (1)
-
Prove that
(Solved)

Date posted:
May 10, 2019
.
Answers (1)
-
Show that the function;
(Solved)
Show that the function;

is not analytic at the origin, although the Cauchy –Reimann equations are satisfied at the origin.
Date posted:
May 10, 2019
.
Answers (1)
-
Let f (z) = u(x, y) + iv(x, y) .Prove that
(Solved)
Let f (z) = u(x, y) + iv(x, y) .Prove that

Date posted:
May 10, 2019
.
Answers (1)
-
Let f(z) = u +iv be an analytic function.
If u = u3 – 3x2y find f(z).
(Solved)
Let f(z) = u +iv be an analytic function.
If u = u3 – 3x2y find f(z).
Date posted:
May 10, 2019
.
Answers (1)
-
If the real part of an analytic function f(z) = u + iv is given, then
(Solved)
If the real part of an analytic function f(z) = u + iv is given, then

prove.
Date posted:
May 10, 2019
.
Answers (1)
-
Prove the Cauchy – Reimann Equations
(Solved)
Prove the Cauchy – Reimann Equations
Date posted:
May 10, 2019
.
Answers (1)
-
Define an entire function
(Solved)
Define an entire function
Date posted:
May 10, 2019
.
Answers (1)
-
Define analytic function in a Region R.
(Solved)
Define analytic function in a Region R.
Date posted:
May 10, 2019
.
Answers (1)
-
Define analytic function
(Solved)
Define analytic function
Date posted:
May 10, 2019
.
Answers (1)
-
Derive of a function of complex variables.
(Solved)
Derive of a function of complex variables.
Date posted:
May 10, 2019
.
Answers (1)
-
For what values of z is the following function continuous?
(Solved)
For what values of z is the following function continuous?

Date posted:
May 10, 2019
.
Answers (1)
-
Show that the following function is not continuous at z = i
(Solved)
Show that the following function is not continuous at z = i

Date posted:
May 10, 2019
.
Answers (1)
-
Prove that f(z) = 2z2 is continuous at z = z0
(Solved)
Prove that f(z) = 2z2 is continuous at z = z0
Date posted:
May 10, 2019
.
Answers (1)
-
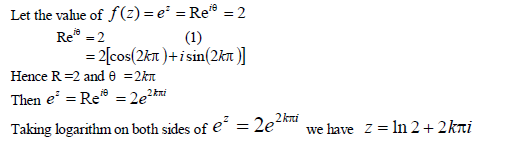
Prove that
(Solved)

Date posted:
May 10, 2019
.
Answers (1)
-
If a + ib is a root of a polynomial,
a0zn +a1zn-1 +...........+an =0
a0, a1…an are real number.
show that its conjugate a – ib is also...
(Solved)
If a + ib is a root of a polynomial,
a0zn +a1zn-1 +...........+an =0
a0, a1…an are real number.
show that its conjugate a – ib is also a root of the same equation or the zeros of a
polynomial with real coefficients always occur in conjugate pairs.
Date posted:
May 2, 2019
.
Answers (1)
-
Find all the 6th roots of unity.
(Solved)
Find all the 6th roots of unity.
Date posted:
May 2, 2019
.
Answers (1)
-
Find the square roots of –15 – 8i
(Solved)
Find the square roots of –15 – 8i
Date posted:
May 2, 2019
.
Answers (1)
-
Solve the equation z4 - 16 = 0
(Solved)
Solve the equation z4 - 16 = 0
Date posted:
May 2, 2019
.
Answers (1)
-
Solve the equation z3 = -13= -1 giving three values of the roots.
(Solved)
Solve the equation z3 = -13= -1 giving three values of the roots.
Date posted:
May 2, 2019
.
Answers (1)