-
Define a free fall.
(Solved)
Define a free fall.
Date posted:
June 4, 2019
.
Answers (1)
-
The figure below shows a ray of light incident at an angle of 35.60 at point D on the first face of a glass prism...
(Solved)
The figure below shows a ray of light incident at an angle of 35.60 at point D on the first face of a glass prism ABC. The refractive index of the prism is 1.6.

(i) Determine the angle of refraction at point D.
(ii) Find the angle of incidence of the refracted ray on the face AC to 1 decimal point.
(iii) Complete the ray diagram to show the emergent ray from the face AC.
(iv) State two conditions necessary for total internal reflection to occur.
Date posted:
June 3, 2019
.
Answers (1)
-
A heater is rated 2000W is used to heat water for 5 hours. Calculate the cost of electricity at Ksh.6.70 per unit.
(Solved)
A heater is rated 2000W is used to heat water for 5 hours. Calculate the cost of electricity at Ksh.6.70 per unit.
Date posted:
June 3, 2019
.
Answers (1)
-
An object of height 10.5cm stands before a diverging lens of focal length 20cm and a distance of 10cm from the lens. Determine;
(i) image distance....
(Solved)
An object of height 10.5cm stands before a diverging lens of focal length 20cm and a distance of 10cm from the lens. Determine;
(i) image distance.
(ii) height of the image.
(iii) magnification.
Date posted:
June 3, 2019
.
Answers (1)
-
The graph below show stopping potential Vs against frequency f. (Take C = 3.0 x 108ms¯¹).
Use the graph to determine:-
(i) the threshold wavelength.
(ii) Planck’s...
(Solved)
The graph below show stopping potential Vs against frequency f. (Take C = 3.0 x 108msˉ¹).

Use the graph to determine:-
(i) the threshold wavelength.
(ii) Planck’s constant.
(iii) the work function of the metal.
Date posted:
June 3, 2019
.
Answers (1)
-
Four capacitor are connected as shown.
Calculate the effective capacitance between A and B.
(Solved)
Four capacitor are connected as shown.

Calculate the effective capacitance between A and B.
Date posted:
June 3, 2019
.
Answers (1)
-
Sketch a circuit diagram to show how two diodes can be used as a current full wave rectifier.
(Solved)
Sketch a circuit diagram to show how two diodes can be used as a current full wave rectifier.
Date posted:
June 3, 2019
.
Answers (1)
-
What is the voltage output for the cell arrangement below?
(Solved)
What is the voltage output for the cell arrangement below?

Date posted:
June 3, 2019
.
Answers (1)
-
The figure below shows a uniform rod of height 8cm floating vertically in a beaker containing two immiscible liquids P and Q. The densities of...
(Solved)
The figure below shows a uniform rod of height 8cm floating vertically in a beaker containing two immiscible liquids P and Q. The densities of the liquids are 800kg/m³ and 1200g/m³ respectively the cross-sectional area of the rod is 2cm².

Determine
(i) the weight of liquid P displaced by the rod.
(ii) the weight of liquid Q displaced by the rod.
(iii) the mass of the rod.
(iv) the density of the rod.
Date posted:
June 3, 2019
.
Answers (1)
-
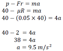
A car of mass 1200kg is negotiating a curve of radius 45m on a horizontal road. The force of friction between the tyres and the...
(Solved)
A car of mass 1200kg is negotiating a curve of radius 45m on a horizontal road. The force of friction between the tyres and the road is 6700N. Determine the maximum speed at which the car can be driven on the curve without going off the road.
Date posted:
June 3, 2019
.
Answers (1)
-
The diagram below shows a simplified hydraulic braking system of a car.
(i) State the property of the liquid (oil) that makes its more suitable than...
(Solved)
The diagram below shows a simplified hydraulic braking system of a car.

(i) State the property of the liquid (oil) that makes its more suitable than a gas for use as a brake fluid.
(ii) Explain how the system works starting from when the driver presses the foot pedal.
Date posted:
June 3, 2019
.
Answers (1)
-
Explain how a person is able to draw milk from a glass using a straw.
(Solved)
Explain how a person is able to draw milk from a glass using a straw.
Date posted:
June 3, 2019
.
Answers (1)
-
The following figure shows a wheel and axle used to raise a load W by applying an effort F. The radius of the larger wheel...
(Solved)
The following figure shows a wheel and axle used to raise a load W by applying an effort F. The radius of the larger wheel is R and the small wheel is y.

Given that v = 5cm and R is 8cm, determine the effort required to raise a load of 20N if the efficiency of the system is 80%.
Date posted:
June 3, 2019
.
Answers (1)
-
An immersion heater takes 30 minutes to heat 20kg of water from 250C to 600C. How long would the same heater take to heat the...
(Solved)
An immersion heater takes 30 minutes to heat 20kg of water from 250C to 600C. How long would the same heater take to heat the same mass of kerosene through the same temperature range. (Assume no heat is lost to the surrounding).
Specific heat capacity of water = 4200JKgˉ¹Kˉ¹
Specific heat capacity of kerosene = 2200JKgˉ¹Kˉ¹
Date posted:
June 3, 2019
.
Answers (1)
-
A ball of mass 100g is dropped from a height of 1.25m above the ground surface.
It rebounds to a height of 1.1m. Calculate
(i) velocity of...
(Solved)
A ball of mass 100g is dropped from a height of 1.25m above the ground surface.
It rebounds to a height of 1.1m. Calculate
(i) velocity of the ball before impact.
(ii) force of impact if the ball is in contact with the surface for 0.2S (g = 10N/kg).
Date posted:
June 3, 2019
.
Answers (1)
-
The figure below shows a set-up that can be used to verify Charles law of gases.
(i) State the measurements that should be taken in the...
(Solved)
The figure below shows a set-up that can be used to verify Charles law of gases.

(i) State the measurements that should be taken in the experiment.
(ii) Explain how the measurements taken in (i) above can be used to verify Charles law.
Date posted:
June 3, 2019
.
Answers (1)
-
The figure below shows a uniform bar in equilibrium under the action of tin forces.
Determine the value of F.
(Solved)
The figure below shows a uniform bar in equilibrium under the action of tin forces.

Determine the value of F.
Date posted:
June 3, 2019
.
Answers (1)
-
A metal bench feels colder than a wooden one when one sits on it on a cold morning even though both are at the same...
(Solved)
A metal bench feels colder than a wooden one when one sits on it on a cold morning even though both are at the same temperature. Explain this observation.
Date posted:
June 3, 2019
.
Answers (1)
-
The diagram below shows an empty wine glass.
(a) State the effect on its stability when wine is put into the glass.
(b) Explain your answer in...
(Solved)
The diagram below shows an empty wine glass.

(a) State the effect on its stability when wine is put into the glass.
(b) Explain your answer in (a) above.
Date posted:
June 3, 2019
.
Answers (1)
-
Complete figure (a) and (b) below by showing the level of the liquids in the glass tubes.
(Solved)
Complete figure (a) and (b) below by showing the level of the liquids in the glass tubes.

Date posted:
June 3, 2019
.
Answers (1)