-
Given that x + y = 8 and x2 + y2 = 24
Find;
(a) the value of x2 + 2xy + y2
(b) Find the value of...
(Solved)
Given that x + y = 8 and x2 + y2 = 24
Find;
(a) the value of x2 + 2xy + y2
(b) Find the value of ; 2xy
(c) x2 – 2xy + y2
(d) x – y
(e) Value of x and y
Date posted:
June 18, 2019
.
Answers (1)
-
Simplify
(Solved)
Simplify 
Date posted:
June 18, 2019
.
Answers (1)
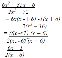
-
Simplify the following
(Solved)
Simplify;

Date posted:
June 18, 2019
.
Answers (1)
-
Mutua bought 160 trays of 8 eggs each at shs.150 per tray. On transportation 12 eggs
broke. He later discovered that 20 eggs were rotten. If...
(Solved)
Mutua bought 160 trays of 8 eggs each at shs.150 per tray. On transportation 12 eggs
broke. He later discovered that 20 eggs were rotten. If he sold the rest at shs.180 per
tray, how much profit did he make?
Date posted:
June 18, 2019
.
Answers (1)
-
Five year ago, a mother’s age was four times that of her daughter. In four years to come,
she will be 2 ½ times the age...
(Solved)
Five year ago, a mother’s age was four times that of her daughter. In four years to come,
she will be 2 ½ times the age of her daughter. Calculate the sum of their present ages
Date posted:
June 18, 2019
.
Answers (1)
-
Simplify
(Solved)
Simplify 
Date posted:
June 18, 2019
.
Answers (1)
-
John bought a TV set ksh 12000,he later sold it making a profit of twenty percent.How much did he sell it? (A) ksh10,000...
(Solved)
John bought a TV set ksh 12000,he later sold it making a profit of twenty percent.How much did he sell it? (A) ksh10,000 (B)ksh 12,000 (C)ksh 14,400 (D)ksh9600
Date posted:
June 4, 2019
.
Answers (1)
-
In the figure below, circle ABDF has centre O. CE is a tangent to the circle at D and AF =12cm is the diameter, AB...
(Solved)
In the figure below, circle ABDF has centre O. CE is a tangent to the circle at D and AF =12cm is the diameter, AB = BD and angle DAF = 27º.

(a) Find the size of
(i) Angle ADE.
(ii) Angle ADB.
(b) Find the length of
(i) AD.
(ii) BD.
Date posted:
May 23, 2019
.
Answers (1)
-
Two straight lines L1 and L2 intersect at a point P.Q and R are on the lines L1 and L2 respectively such that PQ=5cm, PR=7cm...
(Solved)
Two straight lines L1 and L2 intersect at a point P.Q and R are on the lines L1 and L2 respectively such that PQ=5cm, PR=7cm and 0
(a) Draw the two lines.
(b) Using a ruler and pair of compasses only, draw a circle which is a tangent to line PR at R and
passes through Q.
(c) The line 𝑙1 cuts the circle again at point S. Mark the point S and measure QS.
(d) Locate a point T on the minor arc such that QT
Date posted:
May 23, 2019
.
Answers (1)
-
Draw a cumulative frequency curve for the following data which shows the marks obtained by 80 form four students in a school.
a) The lower quartileQ1),...
(Solved)
Draw a cumulative frequency curve for the following data which shows the marks obtained by 80 form four students in a school.

Use your graph to find:
a) The lower quartileQ1), median(Q2) and upper quartile(Q3).
b) The pass mark if 85% of these student are to pass.
Date posted:
May 23, 2019
.
Answers (1)
-
A group of young men decided to raise Ksh.480000 to start a business. Before actual payment was made four members pulled out and each of...
(Solved)
A group of young men decided to raise Ksh.480000 to start a business. Before actual payment was made four members pulled out and each of the remaining had to pay an additional Ksh.20000. Write an expression in terms of P for.
(a) (i) Original contribution of each member.
(ii) Contribution after withdrawal of four members.
(b) Form an equation in P and hence determine the number of initial members.
(c) Three men Kamau, James and Hassan shared Shs.480000 such that Kamau: James is 3: 2 and James: Hassan is 4: 2. Find how much each got.
Date posted:
May 23, 2019
.
Answers (1)
-
The table alongside shows the rates of taxation in a certain year.
In that year Mr. Kariuki a civil servant was earning a basic salary of...
(Solved)
The table alongside shows the rates of taxation in a certain year.

In that year Mr. Kariuki a civil servant was earning a basic salary of Ksh. 27 000 per month. In
addition he was entitled to other taxable allowances totalling to Ksh 11 000 per month and a
personal relief of Ksh 1056 per month. He lives in a government house where he is paying a
nominal rent of Ksh. 3 500 per month.
(a) Calculate how much income tax Mr. Kariuki pays per month (in sh)
(b) Mr. Kariuki’s other deductions per month were co-operative society contribution of sh 2500
and loan repayment of sh. 3000, calculate his net salary per month.
Date posted:
May 23, 2019
.
Answers (1)
-
The figure below shows a triangle inscribed in a circle. AB = 6cm, BC = 9cm and AC =
10cm.
(a) The interior angles of triangle ABC.
(b)...
(Solved)
The figure below shows a triangle inscribed in a circle. AB = 6cm, BC = 9cm and AC =
10cm.

Calculate
(a) The interior angles of triangle ABC.
(b) The radius of the circle.
(c) The area of the shaded part.
Date posted:
May 23, 2019
.
Answers (1)
-
An arc subtends an angle of 0.9 radians. If radius of circle is 13cm, find the length of the arc.
(Solved)
An arc subtends an angle of 0.9 radians. If radius of circle is 13cm, find the length of the arc.
Date posted:
May 23, 2019
.
Answers (1)
-
Make N the subject of the formula.
(Solved)
Make N the subject of the formula.

Date posted:
May 23, 2019
.
Answers (1)
-
In the figure below CB is a tangent to the circle, DEB is a straight line DE:EB=1:3
(Solved)
In the figure below CB is a tangent to the circle, DEB is a straight line DE:EB=1:3

Find BD and EB given that CB=8√3cm
Date posted:
May 23, 2019
.
Answers (1)
-
An item that costs sh 24000 cash can be bought on hire purchase. A customer pays sh 6000
as deposit and then makes 6 monthly instalments...
(Solved)
An item that costs sh 24000 cash can be bought on hire purchase. A customer pays sh 6000
as deposit and then makes 6 monthly instalments of sh 3500 each. Calculate the monthly rate
of compound interest, giving your answer to 1 d.p.
Date posted:
May 22, 2019
.
Answers (1)
-
Machine A can complete a piece of work in 6 hours while machine B can complete the same
work in 10 hours. If both machines start...
(Solved)
Machine A can complete a piece of work in 6 hours while machine B can complete the same
work in 10 hours. If both machines start working together and machine B breaks down after
two hours, how long will it take machine A to complete the rest of the work.
Date posted:
May 22, 2019
.
Answers (1)
-
The first term of an arithmetic sequence is (2x+1) and the common difference is (x+1) if the
product of the first and the second terms is...
(Solved)
The first term of an arithmetic sequence is (2x+1) and the common difference is (x+1) if the
product of the first and the second terms is zero, find the first three terms of the two possible
sequences.
Date posted:
May 22, 2019
.
Answers (1)
-
Find the inverse of the matrix.
(Solved)
Find the inverse of the matrix.

Date posted:
May 22, 2019
.
Answers (1)