-
In the triangle XYZ below, find the angle ZXY.
(Solved)
In the triangle XYZ below, find the angle ZXY.

Date posted:
June 18, 2019
.
Answers (1)
-
Wanjiku is standing at a point P, 160m south of a hill H on a level ground. From point P she observes
the angle of elevation...
(Solved)
Wanjiku is standing at a point P, 160m south of a hill H on a level ground. From point P she observes
the angle of elevation of the top of the hill to be 670
(a) Calculate the height of the hill
(b) After walking 420m due east to the point Q, Wanjiku proceeds to point R due east of Q, where the
angle of elevation of the top of the hill is 350. Calculate the angle of elevation of the top of the hill
from Q
(c) Calculate the distance from P to R
Date posted:
June 18, 2019
.
Answers (1)
-
The sum of angles of a triangle is given by the expression (2a+b)0 while that of a quadrilateral is
given by (13a - b)0 . Calculate...
(Solved)
The sum of angles of a triangle is given by the expression (2a+b)0 while that of a quadrilateral is
given by (13a - b)0 . Calculate the values of a and b
Date posted:
June 18, 2019
.
Answers (1)
-
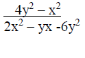
Simplify the expression:-
(Solved)
Simplify the expression:-

Date posted:
June 18, 2019
.
Answers (1)
-
Simplify the following expressions by reducing it to a single fraction
(Solved)
Simplify the following expressions by reducing it to a single fraction

Date posted:
June 18, 2019
.
Answers (1)
-
The sum of two numbers is 15. The difference between five times the first number and
three times the second number is 19. Find the two...
(Solved)
The sum of two numbers is 15. The difference between five times the first number and
three times the second number is 19. Find the two numbers
Date posted:
June 18, 2019
.
Answers (1)
-
Simplify the given expression
(Solved)
Simplify 
Date posted:
June 18, 2019
.
Answers (1)
-
Simplify the expression.:
(Solved)
Simplify the expression.:

Date posted:
June 18, 2019
.
Answers (1)
-
Simplify completely
(Solved)
Simplify completely

Date posted:
June 18, 2019
.
Answers (1)
-
Given that (x-3) (Ax²+bx+c) = x³-7x-6, find the value of A, B and C
(Solved)
Given that (x-3) (Ax²+bx+c) = x³-7x-6, find the value of A, B and C
Date posted:
June 18, 2019
.
Answers (1)
-
Simplify the expression:-
(Solved)
Simplify the expression:-

Date posted:
June 18, 2019
.
Answers (1)
-
Simplify the expression given below
(Solved)
Simplify 
Date posted:
June 18, 2019
.
Answers (1)
-
Every time an insect jumps forward the distance covered is half of the previous jump.
If the insect initially jumped 8.4cm, calculate
(i) To the nearest two...
(Solved)
Every time an insect jumps forward the distance covered is half of the previous jump.
If the insect initially jumped 8.4cm, calculate
(i) To the nearest two decimal places distance of the sixth jump
(ii) The total distance covered after the sixth jump
Date posted:
June 18, 2019
.
Answers (1)
-
Factorize completely the expression
75x2 – 27y2
(Solved)
Factorize completely the expression
75x2 – 27y2
Date posted:
June 18, 2019
.
Answers (1)
-
A rectangular field measures 63.9m by 104.6metres find the minimum number of poles to be
erected for fencing if they are to be at most 2.4meters...
(Solved)
A rectangular field measures 63.9m by 104.6metres find the minimum number of poles to be
erected for fencing if they are to be at most 2.4meters apart.
Date posted:
June 18, 2019
.
Answers (1)
-
Simplify the following expression
(Solved)
Simplify:

Date posted:
June 18, 2019
.
Answers (1)
-
By calculation, find the coordinates of the intersection of the graphs y = x2 + 2x -5
and y = 3x +1
(Solved)
By calculation, find the coordinates of the intersection of the graphs y = x2 + 2x -5
and y = 3x +1
Date posted:
June 18, 2019
.
Answers (1)
-
Simplify as far as possible.
(Solved)
Simplify as far as possible.

Date posted:
June 18, 2019
.
Answers (1)
-
Simplify by factorizing completely:
(Solved)
Simplify by factorizing completely:

Date posted:
June 18, 2019
.
Answers (1)
-
Simplify the expression 2/3 (3x -2) – ¾ (2x -2)
(Solved)
Simplify the expression 2/3 (3x -2) – ¾ (2x -2)
Date posted:
June 18, 2019
.
Answers (1)