Trusted by millions of Kenyans
Study resources on Kenyaplex

Get ready-made curriculum aligned revision materials

Exam papers, notes, holiday assignments and topical questions – all aligned to the Kenyan curriculum.

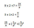
Solve the following equation:

1562742611245-q210720191007.png

que22972019852.png

Answers


Wilfred
The correct answer is [A]

-Write in improper fraction form
1562742836248-q2e10720191007.png

-Square whatever is in the brackets
1562742883390-q2f10720191007.png

-BODMAS: Division comes before multiplication.

1562742928243-q2g10720191007.png

Wilfykil answered the question on July 29, 2019 at 05:55

Answer Attachments

Exams With Marking Schemes

Related Questions

  • What is 440444.04 written in words? (Solved)

    What is 440444.04 written in words?

    A. Forty four thousand four hundred forty four and four tenths.
    B. Four hundred and forty thousand four hundred and forty four and four hundredths.
    C. Four hundred and forty four thousand four hundred and forty four and four hundredths.
    D. Four hundred and forty thousand four hundred and forty four and four tenths.

    Date posted: July 29, 2019 .    Answers (1)