-
The figures below represent a pattern
Which one of the following is the next shape in the pattern above?
Date posted:
August 2, 2019
-
A man deposited sh 50000 in a bank for 2 years. The bank paid compound interest at the rate of 10% per annum. How much money was in his account at the end of the two years?
A. sh. 10 500
B. sh. 55 500
C. sh. 60 000
D. sh. 60 500
Date posted:
August 2, 2019
-
The table below shows the train fares for Nairobi—Mombasa route.
The following passengers travelled in the train:
1. 23 pupils of age 12 years and above
2. 12 pupils aged between 7 and 10 years
3. 2 children below 3 years
4. 3 parents
5. 5 teachers
6. 1 head teacher
The passengers occupied the following classes in the train:
1st class: Head teacher, 1 parent
2nd class: 5 teachers, 2 parents and all pupils and children
How much money did they pay for the journey to Mombasa?
A. sh 119 560
B. sh 151 300
C. sh 156 100
D. sh 164 080
Date posted:
August 2, 2019
-
A tailor made 48 pieces of uniform. Half of the number of the uniforms was each made using
meters of material. A quarter of the remainder was each made using
metres of material and the rest was each made using
meters of material. The tailor also fixed a logo made using
meters of material on each uniform. How many metres of material did the tailor use?
A.
B. 72 meters
C.
D.
Date posted:
August 2, 2019
-
Figure ABCDE below represents a vegetable garden in which AE=12m, AB=36m and CD=24m. Angle DEA is a right angle. The distance from A to D is 15m. A perpendicular distance from C to AB is 10m.
What is the area of the garden?
A. 474 m2
B. 390 m2
C. 354 m2
D. 300 m2
Date posted:
August 2, 2019
-
The marked price of a motor cycle was sh. 30,000 but a discount of 5% was allowed for cash payment. Taabu bought the motorcycle on hire purchase terms by paying a deposit of sh. 8,500 followed by ten equal monthly instalments of sh. 2,400. How much money would Taabu have saved had she bought it for cash?
A. sh. 4 000
B. sh. 2 500
C. sh. 1 500
D. sh. 28 500
Date posted:
August 2, 2019
-
What is the next number in the pattern 4, 9, 25, 49, 121, 169,…..?
A. 289
B. 256
C. 225
D. 196
Date posted:
August 2, 2019
-
Nina is paid a basic salary of sh 8000 as a sales agent. In addition she is paid a 5% commission for goods sold above sh 15000. In one month she earned sh 12000 altogether. What was the total sales?
A. sh 255 000
B. sh 95 000
C. Sh 80 000
D. sh 65 000
Date posted:
August 2, 2019
-
The table below shows part of Tariff for Ordinary Money Order and Postapay.
Karimi has two children in one school. To pay for their school fees he sent sh 8900 by Ordinary Money Order and sh 15 400 by Postapay. How much money would he have saved had he bought one Ordinary Money Order to pay for all the fees?
A. sh 125
B. sh 400
C. sh 525
D. sh 925
Date posted:
August 2, 2019
-
In the figure below EFG is a straight line Lines GH and FH are equal and lines HI and FI are also equal. Angle GHF is a right angle and angle HIF is 32°. What is the size of angle EFI?
A. 45°
B. 61°
C. 74°
D. 103°
Date posted:
August 2, 2019
-
A football match was attended by 42 000 men. The number of women who attended was 27 000 less than the number of men and 12 000 more than the number of children. The entrance fee for adults was sh 100 and for children was sh 50. How much money was collected all together?
A. sh 11 700 000
B. sh 7 500 000
C. sh 7 050 000
D. sh 5 850 000
Date posted:
August 2, 2019
-
Ali is now two years older than Martha. If Martha’s age is represented by x, what will be their total age after 10 years?
A. 2x+22
B. 3x+20
C. x+22
D. 2x+18
Date posted:
August 2, 2019
-
The diagram below is a trapezium MNPQ. Line MQ is parallel to line NP. The length of line MQ = 8cm and that of line NR = 7cm. The perpendicular line MR=12cm.
If the area of the trapezium is 198cm2, what is the length of RP?
A. 15cm
B. 18cm
C. 25cm
D. 32cm
Date posted:
August 2, 2019
-
A mathematics text book has 97 sheets of paper and a cover. Each sheet of paper has a mass of 4 grams and the cover has a mass of 20g. Find the mass of the book in kilograms.
A. 0.408
B. 4.08
C. 40.8
D. 408
Date posted:
August 2, 2019
-
Which one of the statements below is a property of a right angled triangle?
A. All sides are equal.
B. Adjacent angles are supplementary.
C. Two of its sides are perpendicular.
D. The longest side of the triangle is opposite the smallest angle.
Date posted:
August 2, 2019
-
A car traveled 216 km at an average speed of 48km/h. On the return journey the average speed increased to 72km/h. Calculate the average speed in km/h for the whole journey?
A. 57.6
B. 60
C. 28.8
D. 68.6
Date posted:
August 2, 2019
-
The pie chart below represents the population of 1800 animals in a farm.
How many more chickens than goats are there in the farm?
Date posted:
August 2, 2019
-
Mutuma left Mombasa on Tuesday at 6.30 pm and took 8 hours 45 minutes to reach his home. On what day and at what time in a 24 hour system did he reach home?
A. Wednesday 0315 h
B. Wednesday 1515 h
C. Tuesday 1515 h
D. Tuesday 0315 h
Date posted:
August 2, 2019
-
Halima bought 50 bananas @ sh 3 each. She spent sh 75 for transportation. During transportation 5 bananas got spoilt but she sold the rest making a 20% profit. For how much did she sell each banana?
A. sh 4.00
B. sh 5.40
C. sh 5.60
D. sh 6.00
Date posted:
August 2, 2019
-
What is the value of
Date posted:
August 2, 2019
-
What is the surface area of a cylindrical rod of height 17cm and diameter 14 cm?
A. 748 cm2
B. 902 cm2
C. 1 056 cm2
D. 2 728 cm2
Date posted:
August 2, 2019
-
What is the value of
Date posted:
August 2, 2019
-
The graph below shows the journey made by a social worker on a certain day
Between which two places was his speed the highest?
A. Home and school
B. School and health centre
C. Health centre and the market
D. Market and home.
Date posted:
August 2, 2019
-
A family uses 5 decilitres of milk each day. How many litres of milk altogether would the family use in the months of June and July?
A. 305
B. 30.5
C. 30.0
D. 3.05
Date posted:
August 2, 2019
-
Mwaruwa is paid sh 3 750 after working for 25 days. How much money would he be paid if he does not work for 4 days?
A. sh 600
B. sh 4 464
C. sh 4 350
D. sh 3 150
Date posted:
August 2, 2019
-
A meeting was attended by 150 people. Out of these 0.14 were men, 0.2 were women and the rest were children. How many more children than women were there?
A. 69
B. 78
C. 99
D. 129
Date posted:
August 2, 2019
-
Each of the diagonals of a rectangular flower garden is 65m. If one side of the garden measures 25m, what is the measurement of the other side?
A. 90m
B. 60m
C. 40m
D. 20m
Date posted:
August 2, 2019
-
The figure below is a sketch of a triangle XYZ in which angle ZXY=50°, angle YZX=70° and line ZX= 6cm
Which one of the statements below leads to the correct construction of the triangle?
A. Use a ruler to draw line ZX=6cm long and drop a perpendicular from Y to ZX. Then join Y to X and to Z. B. Use a ruler to draw line ZX=6cm long and a pair of compasses to construct angle ZXY=50° and YZX=7O°.
C. Measure and draw the angles ZXY=50° and YZX=70° using a protractor and draw line ZX =6cm long.
D. Use a ruler to draw line ZX=6cm long. Use a protractor to mark off an angle 70° at Z and angle of 50° at X. Let the lines formed by the angles meet at Y.
Date posted:
August 2, 2019
-
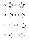
What is
in a simplified form?
Date posted:
August 2, 2019
-
A cylindrical container has a circumference of 176 cm and a height of 40 cm. What is the volume of the container in cm3?
A. 394 240
B. 98 560
C. 7 040
D. 3 520
Date posted:
August 2, 2019