-
The table below shows commission charged on postal orders.
(Solved)
The table below shows commission charged on postal orders.
Mary was to send sh 7000 using postal orders. Which one of the following combinations of value of orders shows the least commission she would be charged?
A. sh 4000, sh 1000, sh 1000 and sh 1000
B. sh 3000, sh 3000 and sh 1000
C. sh 4000 and sh 3000
D. sh 2000, sh 2000, sh 2000 and sh 1000
Date posted:
July 30, 2019
.
Answers (1)
-
A man was 27 years older than his son ten years ago. His wife is 4 years younger than he is. If their total age...
(Solved)
A man was 27 years older than his son ten years ago. His wife is 4 years younger than he is. If their total age is 116 years now, how old is the son?
A. 12
B. 22
C. 45
D. 49
Date posted:
July 30, 2019
.
Answers (1)
-
A watch loses 5 seconds every hour. The watch was set correct on Wednesday at 6.30 am. What time did it show at 6.30 pm...
(Solved)
A watch loses 5 seconds every hour. The watch was set correct on Wednesday at 6.30 am. What time did it show at 6.30 pm the next Wednesday?
A. 6.15 pm
B. 6.16 pm
C. 6.29 pm
D. 6.45 pm
Date posted:
July 30, 2019
.
Answers (1)
-
Halima bought the following items from a shop.
(Solved)
Halima bought the following items from a shop.
She paid for the items using two 500 shilling notes. How much balance did she receive?
A. sh 220
B. sh 300
C. sh 494
D. sh 780
Date posted:
July 30, 2019
.
Answers (1)
-
In the quadrilateral EFGH drawn below, line EF is parallel to GH. The dotted line JG is the perpendicular height. The area of the quadrilateral...
(Solved)
In the quadrilateral EFGH drawn below, line EF is parallel to GH. The dotted line JG is the perpendicular height. The area of the quadrilateral is
3,600 m2
What is the length of line EF?
A. 72m
B. 75m
C. 90m
D. 120m
Date posted:
July 30, 2019
.
Answers (1)
-
A cylindrical tank whose height is 3.5 m has a diameter of 2.8 m.
(Solved)
A cylindrical tank whose height is 3.5 m has a diameter of 2.8 m. If it is
full of water, how many more litres are needed to fill the tank?.
A. 8,624
B. 12,936
C. 21,560
D. 34,496
Date posted:
July 30, 2019
.
Answers (1)
-
A train left town Q on Thursday at 6.45 pm and took 9 hours 30 minutes to reach town R. At what time and day...
(Solved)
A train left town Q on Thursday at 6.45 pm and took 9 hours 30 minutes to reach town R. At what time and day did it reach town R in 24 hour clock system?
A. 0315 h Friday
B. 0415 h Friday
C. 0415 h Thursday
D. 1615 h Thursday
Date posted:
July 30, 2019
.
Answers (1)
-
The pie chart below represents the types of vehicles imported in Kenya in a certain year.
(Solved)
The pie chart below represents the types of vehicles imported in Kenya in a certain year.
If 16,000 Mazdas were imported, how many more Toyotas than Suzukis were imported?
A. 48,000
B. 28,800
C. 19,200
D. 9,600
Date posted:
July 30, 2019
.
Answers (1)
-
A sales agent is paid a basic salary of sh 12,000 and a commission of 3% for goods sold above sh 50,000. In a certain...
(Solved)
A sales agent is paid a basic salary of sh 12,000 and a commission of 3% for goods sold above sh 50,000. In a certain month, his total earnings were sh 15,000. What was the value of the total sales?
A. sh 51,500
B. sh 65,000
C. sh 100,000
D. sh 150 000
Date posted:
July 30, 2019
.
Answers (1)
-
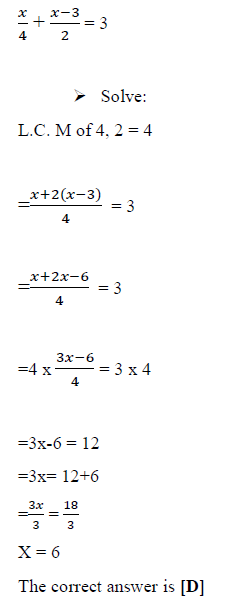
Express the equation below in its simplest form
(Solved)
What is
expressed in its simplest form?
A. 6m+3n
B. 24m+3n
C. 24m-3n
D. 24m+33n
Date posted:
July 30, 2019
.
Answers (1)
-
Construct a parallelogram WXYZ such that lines WX = 5 cm and XY =7.5 cm. Angle WZY = 135°. Join W to Y and Z...
(Solved)
Construct a parallelogram WXYZ such that lines WX = 5 cm and XY =7.5 cm. Angle WZY = 135°. Join W to Y and Z to X and let the point of intersection be O. What is the length of line WO?
A. 2.6 cm
B. 5.2 cm
C. 5.8 cm
D. 11.6 cm
Date posted:
July 30, 2019
.
Answers (1)
-
The table below shows the number of pupils absent from a class of 42 pupils in a certain Week.
(Solved)
The table below shows the number of pupils absent from a class of 42 pupils in a certain Week.
What was the total class attendance for that week?
A. 12
B. 30
C. 180
D. 210
Date posted:
July 30, 2019
.
Answers (1)
-
In a school the ratio of boys to girls is 3:2. There are 600 pupils in the school.
(Solved)
In a school the ratio of boys to girls is 3:2. There are 600 pupils in the school. During an athletic competition
of the girls and
of the boys took part. How many pupils took part in the competition?
A. 448
B. 288
C. 200
D. 112
Date posted:
July 30, 2019
.
Answers (1)
-
Dairy farmer sold milk from 8th December 2011 1st to 8th March 2012. How many days did the farmer sell the milk?
(Solved)
Dairy farmer sold milk from 8th December 2011 1st to 8th March 2012. How many days did the farmer sell the milk?
A. 90
B. 91
C. 92
D. 93
Date posted:
July 30, 2019
.
Answers (1)
-
The following stack of cubes was dipped in paint.How many cubes had paint on two faces only?
(Solved)
The following stack of cubes was dipped in paint.How many cubes had paint on two faces only?
A. 9
B. 22
C. 24
D. 60
Date posted:
July 30, 2019
.
Answers (1)
-
A children’s home was supplied with 40 canons of milk. Each carton contained 60 two-hundred milliliter packets of milk. How many litres of milk were...
(Solved)
A children’s home was supplied with 40 canons of milk. Each carton contained 60 two-hundred milliliter packets of milk. How many litres of milk were supplied?
A. 480,000
B. 4,800
C. 2,400
D. 480
Date posted:
July 30, 2019
.
Answers (1)
-
The figure PQRS drawn below is a parallelogram. Angle PSR=70°, angle PQT=30° and line TQ = line TR.
(Solved)
The figure PQRS drawn below is a parallelogram. Angle PSR=70°, angle PQT=30° and line TQ = line TR.
What is the size of the angle marked x?
A. 70°
B. 80°
C. 100°
D. 120°
Date posted:
July 30, 2019
.
Answers (1)
-
Using a pair of compasses and a ruler construct a triangle UVW such that lines VW=7cm, UV=8cm and UW=6cm. Draw a circle which passes through...
(Solved)
Using a pair of compasses and a ruler construct a triangle UVW such that lines VW=7cm, UV=8cm and UW=6cm. Draw a circle which passes through U, V and W. What is the length of the radius of the circle?
A. 2.0 cm
B. 3.9 cm
C. 4.2 cm
D. 8.3 cm
Date posted:
July 30, 2019
.
Answers (1)
-
A 26-seater bus and a 14-seater matatu were to transport 494 pupils to a sports meeting. If the matatu made an extra trip than the...
(Solved)
A 26-seater bus and a 14-seater matatu were to transport 494 pupils to a sports meeting. If the matatu made an extra trip than the bus, how many pupils did the matatu transport?
A. 312
B. 182
C. 168
D. 13
Date posted:
July 30, 2019
.
Answers (1)
-
Juma paid sh 11,900 for a bicycle after getting a discount of 15%. How much more would he have paid had he been given a...
(Solved)
Juma paid sh 11,900 for a bicycle after getting a discount of 15%. How much more would he have paid had he been given a discount of 10%?
A. 1,260
B. 2,100
C. 1,400
D. 700
Date posted:
July 30, 2019
.
Answers (1)