-
Below is a graph showing the journeys made by Bakari and Ouma. Both started at 7.00 am; Bakari started from town J to town K...
(Solved)
Below is a graph showing the journeys made by Bakari and Ouma. Both started at 7.00 am; Bakari started from town J to town K While Ouma started from town K to town J
After travelling for 3 hours, Bakari rested for 30 minutes. How far from town J was Ouma when Bakari started his rest?
A. 300 km
B. 240 km
C. 180 km
D. 140 km
Date posted:
July 31, 2019
.
Answers (1)
-
A car dealer was left with sh 855 000 after paying out a 5% commission to an agent for the sale of a car. What...
(Solved)
A car dealer was left with sh 855 000 after paying out a 5% commission to an agent for the sale of a car. What was the selling price of the car?
A. sh 17 100 000
B. sh 900 000
C. sh 897 750
D. sh 812 250
Date posted:
July 31, 2019
.
Answers (1)
-
A road measuring 5 cm on a map has an actual distance of 15 kilometres. What is the scale used in drawing the map?
(Solved)
A road measuring 5 cm on a map has an actual distance of 15 kilometres. What is the scale used in drawing the map?
A. 1:3
B. 1:300
C. 1:3 000
D. 1:300 000
Date posted:
July 31, 2019
.
Answers (1)
-
Below are four different types of triangles.
(Solved)
Below are four different types of triangles.
Which one of the following pairs of triangles correctly describes the types of triangles above?
A. (i) and (iii) are isosceles triangles
B. (ii) and (iv) are scalene triangles
C. (ii) and (iii) are right angled triangles
D. (i) and (ii) are equilateral triangles
Date posted:
July 31, 2019
.
Answers (1)
-
The table below shows the number of fruits sold by Fatuma and Bidii on a certain day.
(Solved)
The table below shows the number of fruits sold by Fatuma and Bidii on a certain day. The number of Bananas sold by Fatuma and Bidii has not been shown.
How many more bananas did Bidii sell than Fatuma?
A. 43
B. 65
C. 108
D. 173
Date posted:
July 31, 2019
.
Answers (1)
-
The following are properties of a certain quadrilateral:
(Solved)
The following are properties of a certain quadrilateral:
(i) Opposite sides are parallel
(ii) All sides are equal
(iii) Opposite angles are equal
(iv) Diagonals are unequal and bisect each other at right angles
What is the name of the quadrilateral?
A. Rectangle
B. Trapezium
C. Rhombus
D. Square
Date posted:
July 31, 2019
.
Answers (1)
-
The perimeter of a rectangular plot of land is 57.98 m. If the Width of the plot is 8.6 m. What is its length?
(Solved)
The perimeter of a rectangular plot of land is 57.98 m. If the Width of the plot is 8.6 m. What is its length?
A. 20.39 m
B. 24.69 m
C. 40.78 m
D. 49.39 m
Date posted:
July 31, 2019
.
Answers (1)
-
The figure below represents a right-angled triangle PQR. The area of the triangle is 24 cm2 and the height is 6 cm.
(Solved)
The figure below represents a right-angled triangle PQR. The area of the triangle is 24 cm2 and the height is 6 cm.
What is the length of the longest side?
A. 7.2 cm
B. 8 cm
C. 10 cm
D. 14 cm
Date posted:
July 31, 2019
.
Answers (1)
-
Kerubo bought a T.V. set by paying a deposit of sh 2 400 plus 15 equal monthly instalments of sh 500 each. The hire purchase...
(Solved)
Kerubo bought a T.V. set by paying a deposit of sh 2 400 plus 15 equal monthly instalments of sh 500 each. The hire purchase price was 10% more than the marked price. What was the marked price?
A. sh 8 910
B. sh 9 000
C. sh 9 900
D. sh 11 000
Date posted:
July 31, 2019
.
Answers (1)
-
What total fraction of his money did he save and spend on books?
(Solved)
Tuku spent
of his money on school uniforms,
on books,
of the remainder on food and saved the rest. What total fraction of his money did he save and spend on books?

Date posted:
July 31, 2019
.
Answers (1)
-
What is the value of x in the equation x+3(x+3)=23?
(Solved)
What is the value of x in the equation x+3(x+3)=23?
A.
B. 8
C.
D. 8
Date posted:
July 31, 2019
.
Answers (1)
-
A rectangular tank is 7.5m long, 5m wide and 3.2m high. How many litres of water can it hold when full?
(Solved)
A rectangular tank is 7.5m long, 5m wide and 3.2m high. How many litres of water can it hold when full?
A. 120
B. 1200
C. 12 000
D. 120 000
Date posted:
July 31, 2019
.
Answers (1)
-
In a certain month a businessman made a profit of sh 8 000. The following month his profit was sh 12 000. What was the...
(Solved)
In a certain month a businessman made a profit of sh 8 000. The following month his profit was sh 12 000. What was the percentage increase of the profit?
A.
B. 50%
C.
D. 20%
Date posted:
July 30, 2019
.
Answers (1)
-
Which one of the following statements is true about the number of faces and edges of a square based pyramid?
(Solved)
Which one of the following statements is true about the number of faces and edges of a square based pyramid?
A. 5 faces and 5 edges
B. 4 faces and 6 edges
C. 5 faces and 8 edges
D. 4 faces and 4 edges
Date posted:
July 30, 2019
.
Answers (1)
-
Which one of the following statements is correct?
(Solved)
Which one of the following statements is correct?
A. 0.27 is greater than
B. 0.27 is equal to
C.
is greater than 0.27
D.
is less than 0.27
Date posted:
July 30, 2019
.
Answers (1)
-
The following are prime factors of three numbers:
(Solved)
The following are prime factors of three numbers:
i. 22x32
ii. 23x5
iii. 24x32
What is the L.C.M. of the three numbers?
A. 4
B. 30
C. 180
D. 720
Date posted:
July 30, 2019
.
Answers (1)
-
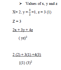
What is the value of?
(Solved)
What is the value of?

Date posted:
July 30, 2019
.
Answers (1)
-
In the number 3078642, the total value of digit 7 is added to the total value of digit 4. Which one of the following is...
(Solved)
In the number 3078642, the total value of digit 7 is added to the total value of digit 4. Which one of the following is the correct answer?
A. 70040
B. 70004
C. 7040
D. 740
Date posted:
July 30, 2019
.
Answers (1)
-
What is the value of?
(Solved)
What is the value of?

Date posted:
July 30, 2019
.
Answers (1)
-
What is the largest 6-digit number written in words that can be formed using the symbols 4, 2,0,8,3 and 6?
(Solved)
What is the largest 6-digit number written in words that can be formed using the symbols 4, 2,0,8,3 and 6?
A. Four hundred and twenty thousand eight hundred and thirty six
B. Eight hundred and sixty four thousand three hundred and twenty
C. Eight million and sixty four thousand three hundred and twenty
D. Two hundred and three thousand four hundred and sixty eight
Date posted:
July 30, 2019
.
Answers (1)