-
What is the difference between the L.C.M. and the H.C.F. of the numbers 18, 24 and 72?
(Solved)
What is the difference between the L.C.M. and the H.C.F. of the numbers 18, 24 and 72?
A. 6
B. 66
C. 72
D. 78
Date posted:
July 31, 2019
.
Answers (1)
-
Which one of the following is the correct order?
(Solved)
The fractions
are to be arranged in order from the smallest to the largest. Which one of the following is the correct order?

Date posted:
July 31, 2019
.
Answers (1)
-
What is 1844.056 when rounded off to two decimal places?
(Solved)
What is 1844.056 when rounded off to two decimal places?
A. 1844.05
B. 1844.00
C. 1844.10
D. 1844.06
Date posted:
July 31, 2019
.
Answers (1)
-
What is the area of the figure shown below?
(Solved)
What is the area of the figure shown below?
A. 24 cm2
B. 36 cm2
C. 34 cm2
D. 40 cm2
Date posted:
July 31, 2019
.
Answers (1)
-
How many days were there from 1st January to 31st March, 2012?
(Solved)
How many days were there from 1st January to 31st March, 2012?
A. 89
B. 90
C. 91
D. 92
Date posted:
July 31, 2019
.
Answers (1)
-
Which one of the ratios given below represents 60%?
(Solved)
Which one of the ratios given below represents 60%?
A. 3:8
B. 3:5
C. 5:3
D. 5:8
Date posted:
July 31, 2019
.
Answers (1)
-
What is the total value of digit 7 in the number 42765831?
(Solved)
What is the total value of digit 7 in the number 42765831?
A. 7 000
B. 70 000
C. 700 000
D. 7 000 000
Date posted:
July 31, 2019
.
Answers (1)
-
What is the value of 45+3(8-22)-7 x 6÷3?
(Solved)
What is the value of 45+3(8-22)-7 x 6÷3?
A. 178
B. 51
C. 49
D. 43
Date posted:
July 31, 2019
.
Answers (1)
-
Which one of the following numbers is one hundred and two thousand and eight hundredths?
(Solved)
Which one of the following numbers is one hundred and two thousand and eight hundredths?
A. 100200.08
B. 102000.08
C. 102.08
D. 102000.80
Date posted:
July 31, 2019
.
Answers (1)
-
The figure below shows a pattern of shapes.
(Solved)
The figure below shows a pattern of shapes.

Date posted:
July 31, 2019
.
Answers (1)
-
Mwachia and Mbuu shared some money in the ratio 5:2. Mbuu received sh 30 less than Mwachia. How much money did Mbuu get?
(Solved)
Mwachia and Mbuu shared some money in the ratio 5:2. Mbuu received sh 30 less than Mwachia. How much money did Mbuu get?
A. sh 20
B. sh 50
C. sh 70
D. sh 80
Date posted:
July 31, 2019
.
Answers (1)
-
Wanja bought 2 kg of peas @sh 80, 3 kg of maize @ sh 60 and 10 kg of potatoes for sh 100.
(Solved)
Wanja bought 2 kg of peas @sh 80, 3 kg of maize @ sh 60 and 10 kg of potatoes for sh 100. If Wanja spend sh x to buy the peas, sh y to buy the maize and sh z to buy the potatoes, which one of the equations below represents the total amount of money spent by Wanja?
A. x + y + z= 440
B. x + y + z= 240
C. x + y + z= 340
D. x + y + z= 1340
Date posted:
July 31, 2019
.
Answers (1)
-
A tank contained 22.5 m3 of water. More water was poured into the tank at the rate of 1.45 m3 per minute. The tank was...
(Solved)
A tank contained 22.5 m3 of water. More water was poured into the tank at the rate of 1.45 m3 per minute. The tank was full at the end of 30 minutes. What is the capacity of the tank in litres?
A. 23 950
B. 43 500
C. 66 000
D. 718 500
Date posted:
July 31, 2019
.
Answers (1)
-
The area of a square plot of land is 1156m2. The plot is to be fenced with three strands of wire. What is the length...
(Solved)
The area of a square plot of land is 1156m2. The plot is to be fenced with three strands of wire. What is the length of the wire that is needed?
A. 867 m
B. 408 m
C. 136 m
D. 102 m
Date posted:
July 31, 2019
.
Answers (1)
-
A design was made up of straight edges of length 2.6 cm and arcs of circles of radii 1.4 cm as shown in the figure...
(Solved)
A design was made up of straight edges of length 2.6 cm and arcs of circles of radii 1.4 cm as shown in the figure below
What is the area of the design?
A. 16.00 cm2
B. 22.16 cm2
C. 25.24 cm2
D. 28.32 cm2
Date posted:
July 31, 2019
.
Answers (1)
-
A lorry was packed with cartons each containing packets of 500g and 250g. The total mass of the packets was 900 kg. If the number...
(Solved)
A lorry was packed with cartons each containing packets of 500g and 250g. The total mass of the packets was 900 kg. If the number of 500 g packets was 1000, what was the number of 250 g packets?
A. 1 600
B. 800
C. 400
D. 100
Date posted:
July 31, 2019
.
Answers (1)
-
The table below shows how Mutua utilized his farm.
(Solved)
The table below shows how Mutua utilized his farm.
If a pie chart was drawn to represent the use of the farm, by how many degrees more would the angle sector representing sugarcane growing be than the angle sector representing grazing?
A. 204°
B. 120°
C. 84°
D. 36°
Date posted:
July 31, 2019
.
Answers (1)
-
Simuyu paid sh 1 560 to buy a blanket after getting 2.5% discount. How much less would he have paid had he been offered a...
(Solved)
Simuyu paid sh 1 560 to buy a blanket after getting 2.5% discount. How much less would he have paid had he been offered a 4% discount?
A. sh 24
B. sh 40
C. sh 64
D. sh 1536
Date posted:
July 31, 2019
.
Answers (1)
-
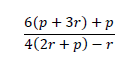
Which one of the expressions below is the simplest form of?
(Solved)
Which one of the expressions below is the simplest form of?
A.
B.
C.
D.
Date posted:
July 31, 2019
.
Answers (1)
-
The number of people who visited a game park on Monday was 65, on Tuesday was 49 and on Wednesday was 58.
(Solved)
The number of people who visited a game park on Monday was 65, on Tuesday was 49 and on Wednesday was 58. On Thursday the number of people was 12 less than those who visited the park on Wednesday. The number of people who visited the game park on Friday was half the number that visited the game park on Saturday. A total of 374 people visited the game park during the six days. How many people visited the game park on Friday?
A. 104
B. 78
C. 52
D. 44
Date posted:
July 31, 2019
.
Answers (1)