-
A meeting was attended by 150 people. Out of these 0.14 were men, 0.2 were women and the rest were children. How many more children...
(Solved)
A meeting was attended by 150 people. Out of these 0.14 were men, 0.2 were women and the rest were children. How many more children than women were there?
A. 69
B. 78
C. 99
D. 129
Date posted:
August 2, 2019
.
Answers (1)
-
Each of the diagonals of a rectangular flower garden is 65m. If one side of the garden measures 25m, what is the measurement of the...
(Solved)
Each of the diagonals of a rectangular flower garden is 65m. If one side of the garden measures 25m, what is the measurement of the other side?
A. 90m
B. 60m
C. 40m
D. 20m
Date posted:
August 2, 2019
.
Answers (1)
-
The figure below is a sketch of a triangle XYZ in which angle ZXY=50°, angle YZX=70° and line ZX= 6cm
(Solved)
The figure below is a sketch of a triangle XYZ in which angle ZXY=50°, angle YZX=70° and line ZX= 6cm
Which one of the statements below leads to the correct construction of the triangle?
A. Use a ruler to draw line ZX=6cm long and drop a perpendicular from Y to ZX. Then join Y to X and to Z. B. Use a ruler to draw line ZX=6cm long and a pair of compasses to construct angle ZXY=50° and YZX=7O°.
C. Measure and draw the angles ZXY=50° and YZX=70° using a protractor and draw line ZX =6cm long.
D. Use a ruler to draw line ZX=6cm long. Use a protractor to mark off an angle 70° at Z and angle of 50° at X. Let the lines formed by the angles meet at Y.
Date posted:
August 2, 2019
.
Answers (1)
-
Simply the question below
(Solved)
What is
in a simplified form?

Date posted:
August 2, 2019
.
Answers (1)
-
A cylindrical container has a circumference of 176 cm and a height of 40 cm.
(Solved)
A cylindrical container has a circumference of 176 cm and a height of 40 cm. What is the volume of the container in cm3?
A. 394 240
B. 98 560
C. 7 040
D. 3 520
Date posted:
August 2, 2019
.
Answers (1)
-
Mulwa had 5 one thousand shillings notes, 7 five hundred shillings notes, 10 two hundred shilling notes and 6 one hundred shillings notes.
(Solved)
Mulwa had 5 one thousand shillings notes, 7 five hundred shillings notes, 10 two hundred shilling notes and 6 one hundred shillings notes. He then changed the money into fifty shillings notes. How many notes altogether did he get?
A. 555000
B. 11 100
C. 2 220
D. 222
Date posted:
August 2, 2019
.
Answers (1)
-
What is the value of?
(Solved)
What is the value of?
A. 14
B. 6.5
C. 4.5
D. 2.75
Date posted:
August 2, 2019
.
Answers (1)
-
Mutiso and Oluoch shared the profit of their business such that Mutiso got
(Solved)
Mutiso and Oluoch shared the profit of their business such that Mutiso got
of the profit. What was the ratio of Mutiso’s share to Oluoch’s share?
A. 3: 2
B. 5: 3
C. 3: 5
D. 2: 3
Date posted:
August 2, 2019
.
Answers (1)
-
The table below shows the amount of milk delivered by a farmer to the dairy in 6 days.
(Solved)
The table below shows the amount of milk delivered by a farmer to the dairy in 6 days.
A. 18
B.
C.
D. 21
Date posted:
August 2, 2019
.
Answers (1)
-
Awinja bought a pair of shoes for sh 810 after getting a discount of 10%. What was the marked price of the pair of shoes?
(Solved)
Awinja bought a pair of shoes for sh 810 after getting a discount of 10%. What was the marked price of the pair of shoes?
A. sh 81
B. sh 729
C. sh 891
D. sh 900
Date posted:
August 2, 2019
.
Answers (1)
-
How many fencing posts, spaced 5m apart, are required to fence a rectangular plot measuring 745 m by 230 m?
(Solved)
How many fencing posts, spaced 5m apart, are required to fence a rectangular plot measuring 745 m by 230 m?
A. 391
B. 390
C. 195
D. 196
Date posted:
August 2, 2019
.
Answers (1)
-
Which is the correct order of writing the fractions
(Solved)
Which is the correct order of writing the fractions
starting from the smallest to the largest?
A. 
B.
C.
D.
Date posted:
August 2, 2019
.
Answers (1)
-
The area of a square is 3844 cm2. What is the length of each side of the square?
(Solved)
The area of a square is 3844 cm2. What is the length of each side of the square?
A. 1922 cm
B. 961 cm
C. 67 cm
D. 62 cm
Date posted:
August 2, 2019
.
Answers (1)
-
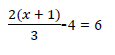
What is the value of x in the equation?
(Solved)
What is the value of x in the equation?
A. 14
B. 10
C. 8
D. 4
Date posted:
August 2, 2019
.
Answers (1)
-
Jebet bought the following items:
(Solved)
Jebet bought the following items:
1. 3 packets of maize flour at sh.90 each
2. 2 kg of beans for sh 170
3.
of potatoes at sh 40 per kg
4. 2 loaves of bread at sh 34 each
If she had sh 800, how much money was she left with?
A. sh 62
B. sh 232
C. sh 466
D. sh 568
Date posted:
August 2, 2019
.
Answers (1)
-
What is the place value of digit 2 in the product of the total value of digit 4 multiplied by the total value of digit...
(Solved)
What is the place value of digit 2 in the product of the total value of digit 4 multiplied by the total value of digit 3 in the number 57438?
A. Ones
B. Tens
C. Hundreds
D. Thousands
Date posted:
August 1, 2019
.
Answers (1)
-
What is the L.C.M of 30, 45 and 60?
(Solved)
What is the L.C.M of 30, 45 and 60?
A. 15
B. 135
C. 180
D. 540
Date posted:
August 1, 2019
.
Answers (1)
-
What is 4.59954 written correct to three decimal places?
(Solved)
What is 4.59954 written correct to three decimal places?
A. 4.599
B. 4.6
C. 4.60
D. 4.600
Date posted:
August 1, 2019
.
Answers (1)
-
What is the value of?
(Solved)
What is the value of?
A. 2
B. 14
C. 18
D. 24
Date posted:
August 1, 2019
.
Answers (1)
-
What is 9301854 written in words?
(Solved)
What is 9301854 written in words?
A. Nine million three thousand and one, eight hundred and fifty four.
B. Ninety three and one thousand, eight hundred and fifty four.
C. Nine million three hundred and one thousand eight hundred and fifty four.
D. Nine hundred and thirty thousand eighteen hundred and fifty four.
Date posted:
August 1, 2019
.
Answers (1)