-
The data below shows masses in grams of pieces of metal in a factory. If the mean mass is 3.3g, find the value of m.
(Solved)
The data below shows masses in grams of pieces of metal in a factory. If the mean mass is 3.3g, find the value of m.

Date posted:
August 6, 2019
.
Answers (1)
-
Without using a calculator or mathematical tables,simplify the expression below.
(Solved)
Without using a calculator or mathematical tables,simplify the expression below.

Date posted:
August 6, 2019
.
Answers (1)
-
Find the Centre and the radius of a circle whose equation is
(Solved)
Find the Centre and the radius of a circle whose equation is

Date posted:
August 6, 2019
.
Answers (1)
-
A straight line has the equation 3y-5x = 4 . Determine the acute angle which the line makes
with the X-axis.
(Solved)
A straight line has the equation 3y-5x = 4 . Determine the acute angle which the line makes
with the X-axis.
Date posted:
August 6, 2019
.
Answers (1)
-
Find the area of the triangle below given that lines AB=25cm, BC = 15cm, AC = 14cm, BD =28cm and angle CBD =320.
(Solved)
Find the area of the triangle below given that lines AB=25cm, BC = 15cm, AC = 14cm, BD =28cm and angle CBD =320.

Date posted:
August 6, 2019
.
Answers (1)
-
Find the integral values that satisfy the simultaneous inequalities below.
(Solved)
Find the integral values that satisfy the simultaneous inequalities below.

Date posted:
August 6, 2019
.
Answers (1)
-
Using logarithm tables,evaluate.
(Solved)
Using logarithm tables,evaluate.

Date posted:
August 6, 2019
.
Answers (1)
-
Given that vectors a,b and c are as shown below and p =4a-8b+ 6c.Find /p/
(Solved)
Given that vectors a,b and c are as shown below and p =4a-8b+ 6c.Find /p/

Date posted:
August 6, 2019
.
Answers (1)
-
Find the value of x which satisfy the following equation.
52x - 6(5x)+5 = 0
(Solved)
Find the value of x which satisfy the following equation.
52x - 6(5x)+5 = 0
Date posted:
August 6, 2019
.
Answers (1)
-
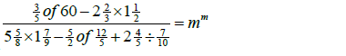
Given the expression below,find the value of m.
(Solved)
Given the expression below,find the value of m.

Date posted:
August 6, 2019
.
Answers (1)
-
What is the general equation of a straight line?
(Solved)
What is the general equation of a straight line?
Date posted:
July 12, 2019
.
Answers (1)
-
In the figure below, PQRS is a rectangle in which PS=10k cm and PQ = 6k cm. M and N are
midpoints of QR and RS...
(Solved)
In the figure below, PQRS is a rectangle in which PS=10k cm and PQ = 6k cm. M and N are
midpoints of QR and RS respectively

a) Find the are of the shaded region
b) Given that the area of the triangle MNR = 30 cm2. find the dimensions of the
rectangle
c) Calculate the sizes of angles θ and B giving your answer to 2 decimal places
Date posted:
June 20, 2019
.
Answers (1)
-
A student took the measurements of his classroom and gave the width as 7m and the length as 9m.
If there is an error of 2%...
(Solved)
A student took the measurements of his classroom and gave the width as 7m and the length as 9m.
If there is an error of 2% in each measurement, determine the greatest value of x+ y/x
if x and y are the width and length of the classroom respectively.
Give your answer to 4 decimal places.
Date posted:
June 20, 2019
.
Answers (1)
-
The floor of a room is in the shape of a rectangle 10.5 m long by 6 m wide. Square tiles of
length 30 cm are...
(Solved)
The floor of a room is in the shape of a rectangle 10.5 m long by 6 m wide. Square tiles of
length 30 cm are to be fitted onto the floor.
(a) Calculate the number of tiles needed for the floor.
(b) A dealer wishes to buy enough tiles for fifteen such rooms. The tiles are packed in cartons
each containing 20 tiles. The cost of each carton is Kshs. 800. Calculate
(i) the total cost of the tiles.
(ii) If in addition, the dealer spends Kshs. 2,000 and Kshs. 600 on transport and subsistence
respectively, at what price should he sell each carton in order to make a profit of 12.5%
(Give your answer to the nearest Kshs.)
Date posted:
June 20, 2019
.
Answers (1)
-
The figure below is a circle of radius 5cm. Points A, B and C are the vertices of the triangle
ABC in which ABC = 60o...
(Solved)
The figure below is a circle of radius 5cm. Points A, B and C are the vertices of the triangle
ABC in which ABC = 60o and ACB=50o which is in the circle. Calculate the area of ABC

Date posted:
June 20, 2019
.
Answers (1)
-
A farmer decides to put two-thirds of his farm under crops. Of this, he put a quarter under
maize and four-fifths of the remainder under beans....
(Solved)
A farmer decides to put two-thirds of his farm under crops. Of this, he put a quarter under
maize and four-fifths of the remainder under beans. The rest is planted with carrots.
If 0.9acres are under carrots, find the total area of the farm
Date posted:
June 20, 2019
.
Answers (1)
-
The scale of a map is 1:50000. A lake on the map is 6.16cm2. find the actual area of the lake in hactares.
(Solved)
The scale of a map is 1:50000. A lake on the map is 6.16cm2. find the actual area of the lake in hactares.
Date posted:
June 20, 2019
.
Answers (1)
-
Calculate the area of the shaded region below, given that AC is an arc of a circle centre B. AB=BC=14cm CD=8cm and angle ABD =...
(Solved)
Calculate the area of the shaded region below, given that AC is an arc of a circle centre B. AB=BC=14cm CD=8cm and angle ABD = 750

Date posted:
June 20, 2019
.
Answers (1)
-
(a) Expand (1 – 3x)5
(b) use your expansion to estimate the value of (0.997) Correct to 4 d.p.
(Solved)
(a) Expand (1 – 3x)5
(b) use your expansion to estimate the value of (0.997) Correct to 4 d.p.
Date posted:
June 20, 2019
.
Answers (1)
-
(a) Expand ( 3 + 2x)6 up to the fourth term
(b) Use your expansion to estimate:- (3v3 )6
(Solved)
(a) Expand ( 3 + 2x)6 up to the fourth term
(b) Use your expansion to estimate:- (3√3 )6
Date posted:
June 20, 2019
.
Answers (1)