-
Two dice are thrown once and their sum noted. Find the probability that the sum is odd
(Solved)
Two dice are thrown once and their sum noted. Find the probability that the sum is odd
Date posted:
June 20, 2019
.
Answers (1)
-
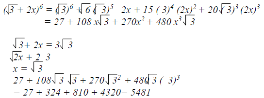
(a) Use binomial expansion to evaluate (2+3/x)5 up to the fifth term
(b) By expressing 9.5 in the form (2 + 3/x), use the expansion in...
(Solved)
(a) Use binomial expansion to evaluate (2+3/x)5 up to the fifth term
(b) By expressing 9.5 in the form (2 + 3/x), use the expansion in (a) above to calculate (9.5)5
correct to 3 d.p
Date posted:
June 20, 2019
.
Answers (1)
-
Use the expansion of (x – 0.2)5 to find the exact value of 9.85
(Solved)
Use the expansion of (x – 0.2)5 to find the exact value of 9.85
Date posted:
June 20, 2019
.
Answers (1)
-
Solve for x in the equation;
log (x + 24) = 2 log 3 + log (9 – 2x).
(Solved)
Solve for x in the equation;
log (x + 24) = 2 log 3 + log (9 – 2x).
Date posted:
June 20, 2019
.
Answers (1)
-
Expand (1 + x/12) in ascending powers of x upto the fourth term.
Use the four terms to evaluate (5/4)6 to 4 decimal places.
(Solved)
Expand (1 + x/12) in ascending powers of x upto the fourth term.
Use the four terms to evaluate (5/4)6 to 4 decimal places.
Date posted:
June 20, 2019
.
Answers (1)
-
(a) Expand and simplify the binominal expression ( 1 + ½ x)8
(b) Use the expansion up to the fourth term to evaluate (1.05)8 to 2...
(Solved)
(a) Expand and simplify the binominal expression ( 1 + ½ x)8
(b) Use the expansion up to the fourth term to evaluate (1.05)8 to 2 decimal places
Date posted:
June 20, 2019
.
Answers (1)
-
Expand (3 + x)4 in ascending powers of x. Use the first three terms of the expansion to
evaluate (3.02)4, correct to 3 decimal places
(Solved)
Expand (3 + x)4 in ascending powers of x. Use the first three terms of the expansion to
evaluate (3.02)4, correct to 3 decimal places
Date posted:
June 20, 2019
.
Answers (1)
-
a) Using binomial expansion, determine the first five terms of the expansion: (2-1/x)8
b) Use the expansion above to evaluate (1.75)8
(Solved)
a) Using binomial expansion, determine the first five terms of the expansion: (2-1/x)8
b) Use the expansion above to evaluate (1.75)8
Date posted:
June 20, 2019
.
Answers (1)
-
In the figure above K, M & P are points on a straight line. PN is a tangent of the circle centre O.
Angle KOL =...
(Solved)

In the figure above K, M & P are points on a straight line. PN is a tangent of the circle centre O.
Angle KOL = 130o and angle MKN = 40o. Find, giving reasons, the values of angles.
(i) MLN
(ii)OLN
(iii) LNP
(iv) MPN
(v) LMO
Date posted:
June 20, 2019
.
Answers (1)
-
The figure O and P are centres of two intersecting circles. ABE is tangent to circle BCD
at B angle BCD is 42o
(a) Giving reasons for...
(Solved)
The figure O and P are centres of two intersecting circles. ABE is tangent to circle BCD
at B angle BCD is 42o

(a) Giving reasons for your answer, find:-
(i) CBD
(ii) DOB
(iii) DAB
(iv) CDA
b) Show that ADB is isosceles
Date posted:
June 20, 2019
.
Answers (1)
-
The figure below shows two intersecting circles radii 8 cm and 6 cm respectively.
The common chord AB = 9cm ad P and Q are the...
(Solved)
The figure below shows two intersecting circles radii 8 cm and 6 cm respectively.
The common chord AB = 9cm ad P and Q are the centres as shown:

(a) Calculate the size of angles:-
(i) APB
(ii) AQB
(b) Calculate the area of the shaded region
Date posted:
June 19, 2019
.
Answers (1)
-
In the figure below ABC is a tangent to the circle at B. given that
(Solved)
In the figure below ABC is a tangent to the circle at B. given that 
Find the sizes of the following angles giving reasons in each case:
a)BDG
b)DGE
c)EFG
d)CBD
e)BCD
Date posted:
June 19, 2019
.
Answers (1)
-
The chords AB and PQ intersects internally at O. Given that the length of OP=8cm,
OA= 4.5cm and OQ=6cm. Calculate the length of OB
(Solved)
The chords AB and PQ intersects internally at O. Given that the length of OP=8cm,
OA= 4.5cm and OQ=6cm. Calculate the length of OB

Date posted:
June 19, 2019
.
Answers (1)
-
The figure below shows a circle centre O. AB and PQ are chords intersecting externally
at a point C. AB = 9cm, PQ = 5cm and...
(Solved)
The figure below shows a circle centre O. AB and PQ are chords intersecting externally
at a point C. AB = 9cm, PQ = 5cm and QC = 4cm. Find the value of x

Date posted:
June 19, 2019
.
Answers (1)
-
In the figure below, ABCD is a cyclic quadrilateral and BD is a diagonal. EADF is a straight line,
CDF = 68o, BDC = 45o...
(Solved)
In the figure below, ABCD is a cyclic quadrilateral and BD is a diagonal. EADF is a straight line,
CDF = 68o, BDC = 45o and BAE = 98o.

Calculate the size of:
a) ABD.
b) CBD
Date posted:
June 19, 2019
.
Answers (1)
-
Two pipes A and B can fill a tank in 3hrs and 4 hrs respectively. Pipe C can empty the full tank
in 6 hrs.
i) How...
(Solved)
Two pipes A and B can fill a tank in 3hrs and 4 hrs respectively. Pipe C can empty the full tank
in 6 hrs.
i) How long would it take pipes A and B to fill the tank if pipe C is closed?
ii) Starting with an empty tank, how long would it take to fill the tank with all pipes running?
Date posted:
June 19, 2019
.
Answers (1)
-
The figure below shows two pulleys of radii 6cm and 4cm with centres A and B respectively.
AB = 8cm. The pulleys are connected by a...
(Solved)
The figure below shows two pulleys of radii 6cm and 4cm with centres A and B respectively.
AB = 8cm. The pulleys are connected by a string PQXRSY

Calculate:
(a) Length PQ
(b) PAS reflex
(c) Length of arc PYS and QXR
(d) The total length of the string PQXRSY
Date posted:
June 19, 2019
.
Answers (1)
-
In the figure below AOD is a diameter of the circle cetre O. BC is a chord parallel to AD. FE is a
tangent to the...
(Solved)
In the figure below AOD is a diameter of the circle cetre O. BC is a chord parallel to AD. FE is a
tangent to the circle. OF bisects angle COD. Angle BCE = angle COE = 20o BC cuts OE at X

Calculate;
(a) angle BOE
(b) angle BEC
(c) angle CEF
(d) angle OXC
(e) angle OFE
Date posted:
June 19, 2019
.
Answers (1)
-
In the given figure, O is the centre of the circle and AOBP is a straight line. PT is a
tangent to the circle. If PT...
(Solved)
In the given figure, O is the centre of the circle and AOBP is a straight line. PT is a
tangent to the circle. If PT = 12cm and BP = 4cm. find the radius of the circle

Date posted:
June 19, 2019
.
Answers (1)
-
In the figure below angle BAC =52o, angle ACB = 40o and AD = DC. The radius of
the circle is 7cm. EF is a tangent...
(Solved)
In the figure below angle BAC =52o, angle ACB = 40o and AD = DC. The radius of
the circle is 7cm. EF is a tangent to the circle

(a) Find; giving reasons
(i) angle DCF
(ii) angle AOB (obtuse)
(b) Calculate the area of the shaded segment AGB
Date posted:
June 19, 2019
.
Answers (1)