-
Use table of cubes and reciprocals to evaluate.
(Solved)
Use table of cubes and reciprocals to evaluate.

Date posted:
August 6, 2019
.
Answers (1)
-
The figure below shows speed time graph of a journey. If total distance travelled in 80
second is 920m
i. Calculate the acceleration during the first 15...
(Solved)
The figure below shows speed time graph of a journey. If total distance travelled in 80
second is 920m

a. Calculate the acceleration during the first 15 seconds.
b. The distance travelled in the final 40 seconds.
Date posted:
August 6, 2019
.
Answers (1)
-
The surface area of a spherical ball is increased by 21% after pressure was pumped in.
The surface area of a spherical ball is increased by...
(Solved)
The surface area of a spherical ball is increased by 21% after pressure was pumped in.
(a) Find the circumference of the original ball if the one with increased pressure has a
circumference of 55cm.
(b) Calculate the percentage increase in volume of the ball.
Date posted:
August 6, 2019
.
Answers (1)
-
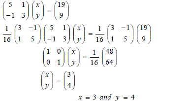
Solve for x in the equation
(Solved)
Solve for x in the equation

Date posted:
August 6, 2019
.
Answers (1)
-
Wasike and Wanjala live 40km apart. Wasike starts cycling from his home at 8.00a.m
toward’s Wanjala’s house at 16km/h. Wanjala stars cycling towards Wasike’s house 30
minutes...
(Solved)
Wasike and Wanjala live 40km apart. Wasike starts cycling from his home at 8.00a.m
toward’s Wanjala’s house at 16km/h. Wanjala stars cycling towards Wasike’s house 30
minutes later at 8km/h. what time did they meet.
Date posted:
August 6, 2019
.
Answers (1)
-
The actual area of an estate is 3510 hectares. The estate is represented by a rectangle
measuring 2.6cm by 1.5 cm on the map whose scale...
(Solved)
The actual area of an estate is 3510 hectares. The estate is represented by a rectangle
measuring 2.6cm by 1.5 cm on the map whose scale is 1:n. Find the value of n.
Date posted:
August 6, 2019
.
Answers (1)
-
The circle below whose area is 18.05 cm2 circumscribes a triangle ABC where AB = 6.3
cm, BC = 5.7 and AC = 4.8cm. Find the...
(Solved)
The circle below whose area is 18.05 cm2 circumscribes a triangle ABC where AB = 6.3
cm, BC = 5.7 and AC = 4.8cm. Find the area of the shaded part.

Date posted:
August 6, 2019
.
Answers (1)
-
The hire purchase term of a cupboard is a deposit of Ksh. 4,400 and six monthly
instalments of ksh. 900 each. The hire purchase price is...
(Solved)
The hire purchase term of a cupboard is a deposit of Ksh. 4,400 and six monthly
instalments of ksh. 900 each. The hire purchase price is 175% of the cost price while the
cash price is 25% more than the cost price. What is the cash price of the cupboard?
Date posted:
August 6, 2019
.
Answers (1)
-
A cold water tap can fill a bath in 10 minutes while a hot water tap can fill it in 8 minutes.
The drainage pipe can...
(Solved)
A cold water tap can fill a bath in 10 minutes while a hot water tap can fill it in 8 minutes.
The drainage pipe can empty it in 5 minutes. The cold water and hot water taps are left
running for 4 minutes. After which all the three taps are left running. Find how long it
takes to fill the bath.
Date posted:
August 6, 2019
.
Answers (1)
-
Find the integral values of the following simultaneous linear inequalities.
(Solved)
Find the integral values of the following simultaneous linear inequalities.

Date posted:
August 6, 2019
.
Answers (1)
-
Evaluate without using mathematical tables or calculators, the square root of
(Solved)
Evaluate without using mathematical tables or calculators, the square root of

Date posted:
August 6, 2019
.
Answers (1)
-
The distance between two towns M and N is 280 km. A car and a lorry travelled from M to N. The average speed of...
(Solved)
The distance between two towns M and N is 280 km. A car and a lorry travelled from M to N. The average speed of the lorry is 20 km less than that of the car. The lorry takes one hour twenty minutes more than the car, to travel the distance.
a) Find the speed of the car correct to 2 d.p
b) If the lorry started its journey from M to N at 8:15 am and the car started 4 hours 20 minutes later, in the same direction, at what time did the car overtake the lorry?
c) How far from town N will the lorry be when the car reaches town N correct to 2 d.p?
Date posted:
August 6, 2019
.
Answers (1)
-
A glass of radius 3 cm in the form of a cylinder contains water to a height of 9cm.
a) Find the volume of the water...
(Solved)
A glass of radius 3 cm in the form of a cylinder contains water to a height of 9cm.
a) Find the volume of the water in the glass correct to 2 decimal places.
b) When a spherical marble is submerged into the water in the glass, the water level rises by 1cm.
Calculate:
i. The volume of the marble correct to 2 decimal places.
ii. Radius of the marble correct to 2 decimal places.
iii. If the height of the glass is 13cm, calculate the surface area of the glass not in contact with water after the above process.
Date posted:
August 6, 2019
.
Answers (1)
-
A car dealer buys a car for Kshs.1, 250,000 and hire it for 25 weeks at a charge of Kshs. 3,500 per day. Insurance costs...
(Solved)
A car dealer buys a car for Kshs.1, 250,000 and hire it for 25 weeks at a charge of Kshs. 3,500 per day. Insurance costs Kshs. 33,700 during the entire period, at the end of which he sells it at Kshs. 750,000. Calculate the profit that he makes on the transaction.
Date posted:
August 6, 2019
.
Answers (1)
-
At 2.00 pm, a ship is at a position P from where a light house L is 12km away on a bearing of 320o. At...
(Solved)
At 2.00 pm, a ship is at a position P from where a light house L is 12km away on a bearing of 320o. At 4.00pm, the ship is at a position Q from where the lighthouse is now on a bearing of 035°. Given that the ship is traveling due West, find by calculation;
a) How far the lighthouse is from Q.
b) The speed of the ship.
c) The closest distance of the ship from the light house.
d) The lighthouse, point Q and point P were noted to be along the circumference of a circular field. Find the distance of P from the Centre of the field.
Date posted:
August 6, 2019
.
Answers (1)
-
A Kenyan tourist left Germany for Kenya through Switzerland. While in Switzerland he bought a watch worth 52 Deutsche marks. Find the value of the...
(Solved)
A Kenyan tourist left Germany for Kenya through Switzerland. While in Switzerland he bought a watch worth 52 Deutsche marks. Find the value of the watch in:
(a) Swiss Francs
(b) Kenya shillings
Use the exchange rates below
1 Swiss Franc = 1.28 Deutsche marks
Swiss Franc = 45.21 Kenya shillings
Date posted:
August 6, 2019
.
Answers (1)
-
Atieno and Kamau started a business and they realized a profit of Kshs. 81,000. The profit
was to be allocated to development, dividends and reserves in...
(Solved)
Atieno and Kamau started a business and they realized a profit of Kshs. 81,000. The profit
was to be allocated to development, dividends and reserves in the ratio 4:5:6 respectively. The
dividends were shared in the ratio of their ages. If their ages were 25years and 20 years
respectively, find how much each of the got.
Date posted:
August 6, 2019
.
Answers (1)
-
Atieno is now four times as old as her daughter and six times as old as her son. Twelve years
from now, the sum of the...
(Solved)
Atieno is now four times as old as her daughter and six times as old as her son. Twelve years
from now, the sum of the ages of her daughter and son will differ from her age by 9 years. What
is Atieno’s present age?
Date posted:
August 6, 2019
.
Answers (1)
-
Draw using the scale of 1:2 the net of the figure below.
(Solved)
Draw using the scale of 1:2 the net of the figure below.

Date posted:
August 6, 2019
.
Answers (1)
-
The data below shows masses in grams of pieces of metal in a factory. If the mean mass is 3.3g, find the value of m.
(Solved)
The data below shows masses in grams of pieces of metal in a factory. If the mean mass is 3.3g, find the value of m.

Date posted:
August 6, 2019
.
Answers (1)